سلام و درود خدمت همه یازدهمی های ریاضی عزیز 🖐
امیدوارم همیشه پر انرژی و سرحال باشید :))
در این مطلب درسنامه و تست فصل 4 حسابان 1، مثلثات رو بررسی خواهیم کرد.
فایل کامل این درسنامه به همراه پاسخ تشریحی تست ها به همراه فایل صوتی توضیح اجمالی این مطلب که توصیه میکنم حتما بهش گوش بدید، در انتهای مطلب ضمیمه شده است.
| رتبه 150 منطقه 2 کنکور 99 دانشجوی مکانیک دانشگاه صنعتی شریف |
🔴ویژگیهای مطلب🔴
درسنامه فصل 4 حسابان 1 - مثلثات
شامل 5 تست از این درس به همراه یک تست با درجه سختی بیشتر (یک قدم فراتر) - * به همراه جایزه کامنت درست *
فایل PDF درسنامه و تست ها به همراه پاسخنامه تست ها ( از قسمت ضمیمه میتواند دانلود کنید )
ویس مقدمه و توضیح اجمالی درسنامه و تست ها
پاسخنامه روان
صفحه اینستاگرام و کانال تلگرام ما
برای ارتباط بیشتر با رتبه برترها و رزرو پشتیبان ویژه، پیج کانون برترها را دنبال کنید و به کانال فوق العاده تلگرامی کانون برترها ملحق بشید تا از مطالب عالی این کانال جا نمونید.
درسنامه
درس اول - واحد های اندازه گیری زاویه

آشنایی با رادیان

نتیجه 1 : اندازه یک زاویه بر حسب رادیان برابر طول کمان روبه روی این زاویه تقسیم بر شعاع قطاع است :

مثال 1 : استفاده از رابطه زاویه برحسب رادیان

مثال 2 : استفاده از رابطه زاویه برحسب رادیان

نتیجه مهم

رابطه بین رادیان و درجه

رابطه تبدیل زاویه به رادیان


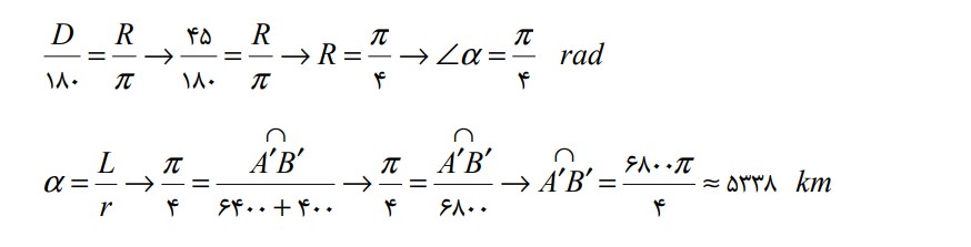
مثال 3 : استفاده از رابطه تبدیل درجه به رادیان و طول کمان دایره و شعاع با زاویه


مثال 4 : دو تسمه متصل به هم

مثال 5 : مخروط گسترده


مثال 6 : ماهواره دور زمین - مدار دایره ای شکل زمین و تشکیل قطاع از مرکز زمین ملاک حل سوال است


نسبت های مثلثاتی تعدادی از زاویه ها
زاویه های مهم

زاویه های مرزی

روابط تکمیلی بین نسبت های مثلثاتی


زاویه های متمم


زاویه های مکمل


زاویه ها با اختلاف پی رادیان


زاویه ها با اختلاف پی دوم رادیان


زاویه ها با مجموع یا تفاضل 2پی رادیان


روشی سریع برای محاسبه نسبت های مثلثاتی


دو نکته قابل توجه

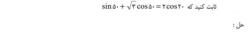
روابط مثلثاتی مجموع و تفاضل زوایا


محاسبه ی نسبت های مثلثاتی مجموع و تفاضل دو زاویه




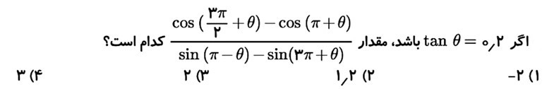
نسبت های مثلثاتی زاویه های دوبرابر و سه برابر کمان

توابع مثلثاتی

تعریف توابع مثلثاتی - به همراه مثال 6


مثال 7 : رسم تابع کسینوس


4 خاصیت توابع مثلثاتی











🔵سوال چالشی🔵
(دوستان عزیز جواب خودتون رو در بخش کامنتها زیر همین پست اعلام بفرمایید)
!تذکر! حتما با صفحه شخصی خودتون جواب صحیح را کامنت کنید.
!تذکر! حداقل تعداد کامنت جواب درست برای قرعه کشی 15 عدد است، پس به دوستان خودتون هم این مطلب رو معرفی کنید تا شانس خودشون رو امتحان کنند.
به یک دانش آموز به قید قرعه که با صفحه شخصی خودش جواب درست رو کامنت کند، *30 دقیقه مشاوره رایگان از بنده* تعلق میگیرد.
جواب درست رو کامنت کنید، شاید شما برنده باشید :))

پاسخ تست شماره 6 ( چالشی و نکته دار) و همینطور نام برنده قرعه کشی در هر مطلب رو میتونید در مطلب بعدی همون درس از من برای ازمون بعد مشاهده بفرمایید.
به طور مثال : نام دانش آموز برنده و پاسخ تست چالشی این مطلب رو میتوانید در مطلب بعدی ریاضی دهم مربوط به درسنامه های ازمون 25 شهریور از بنده مشاهده بفرمایید.
برنده از بین کامنت های زیر همین مطلب قرعه کشی میشود و پاسخ اون کامنت رو بنده با * تبریک و پرسش شماره تلفن برای تماس مشاوره *خواهم داد.
هیچ اعلانی برای پاسخ کامنت برای کاربران سایت دریافت نمیشود، پس نیازه که حتما به مطلب مدام سر بزنید تا اگر شما برنده شدید، پاسخ کامنت را ببینید و آن از دست ندهید.
*پاسخ تست چالشی شماره 6 مطلب توابع نمایی و لگاریتمی مربوط به آزمون 28 مرداد ماه*

مطالب قبلی را میتوانید از طریق لینک های زیر دسترسی داشته باشید:
جبر و معادله(دروس1 و 2) -حسابان1 - درسنامه و تست- محمد کربلایی
جبر و معادله(دروس2 و 3)- حسابان1 - درسنامه و تست -محمد کربلایی
تابع (1) - حسابان 1 - درسنامه و تست - محمد مهدی کربلایی
تابع (2) - حسابان 1 - درسنامه و تست - محمد مهدی کربلایی
توابع نمایی و لگاریتمی - حسابان 1 - درسنامه و تست-محمد کربلایی
از توجه شما ممنونم. موفق باشید.



