سلام و درود خدمت همه یازدهمی های ریاضی عزیز 🖐
امیدوارم همیشه پر انرژی و سرحال باشید :))
در این مطلب درسنامه و تست فصل 1 حسابان 1 ، جبر و معادله رو بررسی خواهیم کرد.
فایل کامل این درسنامه به همراه پاسخ تشریحی تست ها به همراه فیل صوتی توضیح اجمالی این مطلب که توصیه میکنم حتما بهش گوش بدید، در انتهای مطلب ضمیمه شده است.
| رتبه 150 منطقه 2 کنکور 99 دانشجوی مکانیک دانشگاه صنعتی شریف |
🔴ویژگیهای مطلب🔴
درسنامه فصل 1 حسابان 1 - جبر و معادله ( دروس 1 و 2)
شامل 5 تست از این درس به همراه یک تست با درجه سختی بیشتر (یک قدم فراتر) - * به همراه جایزه کامنت درست *
فایل PDF درسنامه و تست ها به همراه پاسخنامه تست ها ( از قسمت ضمیمه میتواند دانلود کنید )
ویس مقدمه و توضیح اجمالی درسنامه و تست ها
پاسخنامه روان
در کانال تلگرام کانون برترها عضو شوید
بخش اول - مجموع جملات دنباله هندسی و حسابی
درس اول : مجموع جملات دنباله های حسابی و هندسی
یادآوری :
فرمول جمله عمومی دنباله حسابی

حالات قدرنسبت دنباله حسابی و فرمول واسطه حسابی

فرمولی که در سوالات بسیاری کاربرد دارد :
فرمول مجموع اعداد 1 تا n
مجموع n جمله اول دنباله حسابی ( شروع از a1 تا an )

مثال هایی از این بخش
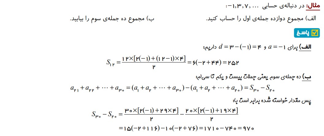
مثال 1 :

مثال 2 :

مثال 3 :
با داشتن فرمول Sn در فرضیات سوال، میتوان اطلاعات مورد نیازمون رو از دنباله کسب کنیم.
*و اما روش فوری برای پیدا کردن an

زمانی که قدر نسبت دنباله را در اختیار نداریم اما مقدار جمله an مشخص است :

مثال 4 : 
یادآوری دنباله هندسی :
تعریف قدر نسبت و جمله عمومی دنباله هندسی :

حالات قدرنسبت دنباله هندسی و فرمول واسطه هندسی

مجموع n جمله اول دنباله هندسی ( شروع از a1 تا an )
مثال 5 :

مثال 6 :
مثال 7 :


بخش دوم - معادله درجه دوم
یادآوری چند روش حل سریع روش حل کلی

توجه :

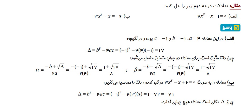
مثال 8 :
روش کلی حل معادلات درجه دوم :

مثال 9 :

مثال 10 :


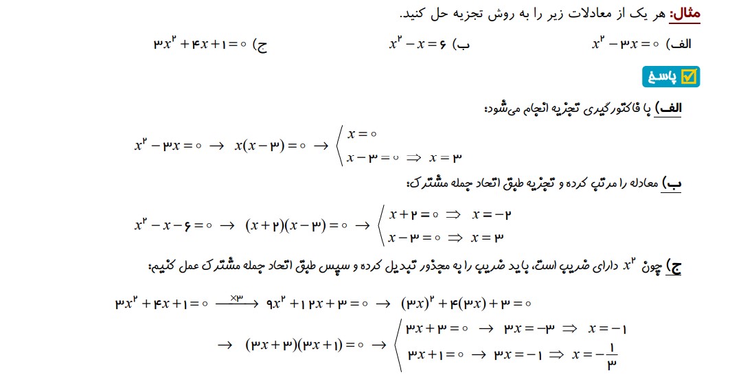
حالت های ویژه حل معادلات (روش های سریع ریشه یابی) :

مثال 11 :

حالت کلی :

مثال 12 :
مثال 13 :

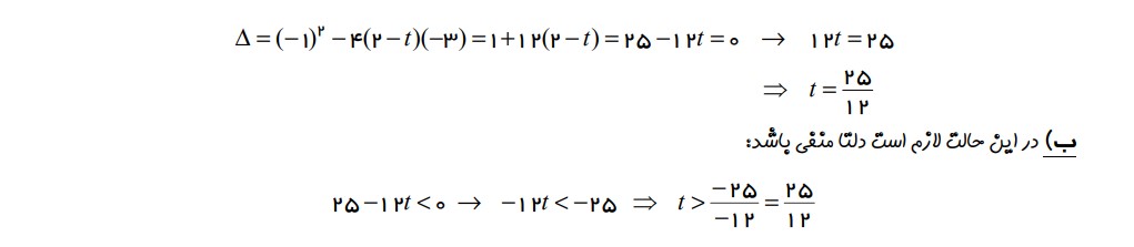
روش تبدیل به درجه دوم (تغییر متغیر) :


مثال 14 :

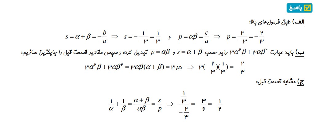
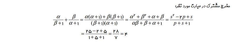
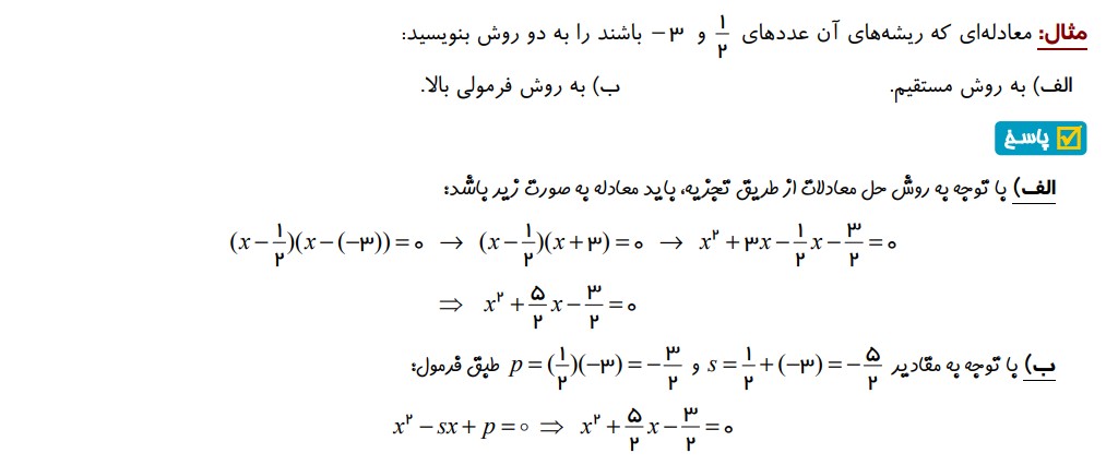
روابط بین ریشه ها

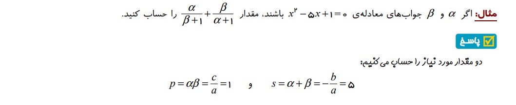
مثال 15 :



مثال 16 :

برخی اصطلاحات رو برای حل سوالات باید بلد باشیم :

مثال 17 :

مثال 18 :

مثال 19 :

مثال 20 :

مثال 21 :
مثال 22 :

مثال 23 :

روش های کوتاه را برای ازمون ها امتحان کنید :
مثال 24 :

تست ها

آسان


متوسط


متوسط


متوسط


متوسط

🔵سوال چالشی🔵
(دوستان عزیز جواب خودتون رو در بخش کامنتها زیر همین پست اعلام بفرمایید)
!تذکر! حتما با صفحه شخصی خودتون جواب صحیح را کامنت کنید.
!تذکر! حداقل تعداد کامنت جواب درست برای قرعه کشی 15 عدد است، پس به دوستان خودتون هم این مطلب رو معرفی کنید تا شانس خودشون رو امتحان کنند.
به یک دانش آموز به قید قرعه که با صفحه شخصی خودش جواب درست رو کامنت کند، *30 دقیقه مشاوره رایگان از بنده* تعلق میگیرد.
جواب درست رو کامنت کنید، شاید شما برنده باشید :))
سخت

پاسخ تست شماره 6 ( چالشی و نکته دار) و همینطور نام برنده قرعه کشی در هر مطلب رو میتونید در مطلب بعدی همون درس از من برای ازمون بعد مشاهده بفرمایید.
به طور مثال : نام دانش آموز برنده و پاسخ تست چالشی این مطلب رو میتوانید در مطلب بعدی حسابان مربوط به درسنامه های ازمون 14 مرداد از بنده مشاهده بفرمایید.
برنده از بین کامنت های زیر همین مطلب قرعه کشی میشود و پاسخ اون کامنت رو بنده با * تبریک و پرسش شماره تلفن برای تماس مشاوره *خواهم داد.
هیچ اعلانی برای پاسخ کامنت برای کاربران سایت دریافت نمیشود، پس نیازه که حتما به مطلب مدام سر بزنید تا اگر شما برنده شدید، پاسخ کامنت را ببینید و آن از دست ندهید.
از توجه شما ممنونم. موفق باشید.

