سلام و درود خدمت همه یازدهمی های ریاضی عزیز 🖐
امیدوارم همیشه پر انرژی و سرحال باشید :))
در این مطلب درسنامه و تست فصل 1 حسابان 1 ( دروس 2 و 3 ) ، جبر و معادله رو بررسی خواهیم کرد.
فایل کامل این درسنامه به همراه پاسخ تشریحی تست ها به همراه فایل صوتی توضیح اجمالی این مطلب که توصیه میکنم حتما بهش گوش بدید، در انتهای مطلب ضمیمه شده است.
| رتبه 150 منطقه 2 کنکور 99 دانشجوی مکانیک دانشگاه صنعتی شریف |
🔴ویژگیهای مطلب🔴
درسنامه فصل 1 حسابان 1 - جبر و معادله ( دروس 2 و 3)
شامل 5 تست از این درس به همراه یک تست با درجه سختی بیشتر (یک قدم فراتر) - * به همراه جایزه کامنت درست *
فایل PDF درسنامه و تست ها به همراه پاسخنامه تست ها ( از قسمت ضمیمه میتواند دانلود کنید )
ویس مقدمه و توضیح اجمالی درسنامه و تست ها
پاسخنامه روان
صفحه اینستاگرام و کانال تلگرام ما
برای ارتباط بیشتر با رتبه برترها و رزرو پشتیبان ویژه، پیج کانون برترها را دنبال کنید و به کانال فوق العاده تلگرامی کانون برترها ملحق بشید تا از مطالب
عالی این کانال جا نمونید.
درسنامه
بخش 1 : نمودار تابع درجه دوم

صفر های تابع؟! : همان ریشه :)

مثال 1 :

تعریف نمودار سهمی و ویژگی های آن :

مثال 2 : ( توضیح مفهوم مینیمم و ماکزیمم )

مثال 3 :


مثال 4 : ( توضیح مفهوم خط تقارن سهمی )

وضعیت و حالات مختلف نمودار در دستگاه مختصات
(حالات مختلف تعداد ریشه های نمودار سهمی با توجه به تغییر علامت ضریب a و علامت دلتا)


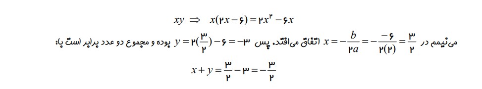
مثال 5 : (تعیین محدوده m با توجه به تعداد ریشه های تابع و بالا یا پایینِ محور yها بودن نمودار)

مثال 6 : ( نحوه ضابطه نویسی با توجه به نمودار )

مثال 7 : ( تعیین علامت ضرایب نمودار سهمی براساس نمودار )


گاهی حل معادلات به روش جبری دشوار یا حتی غیر ممکن است، روش هندسی ممکن است سودمند باشد :

مثال 8 : (حل معادله به روش هندسی )


تعریف معادله گویا

مفاهیم ساده در عین حال اصلی معادلات گویا

مثال 9 : ( تعیین دامنه یک معادله گویا )

تعریف مستطیل طلایی

مثال 10 : ( حل با روش مستطیل طلایی )


طریقه حل معادلات گویا در یک نگاه

مثال 11 : حل معادله گویا

مثال 12 : ( مسئله کاربردی معادله گویا )


مطلب بعدی در برخی سوالات نسبتا قوی و گاهی برای حل سریع مورد نیاز است :

مثال 13 : ( حل سریع معادله گویا )

دامنه جواب بدست آمده :


مثال 14 : ( بدست آوردن دامنه جواب معادله گویا )

حل معادلات اصم ( گنگ )

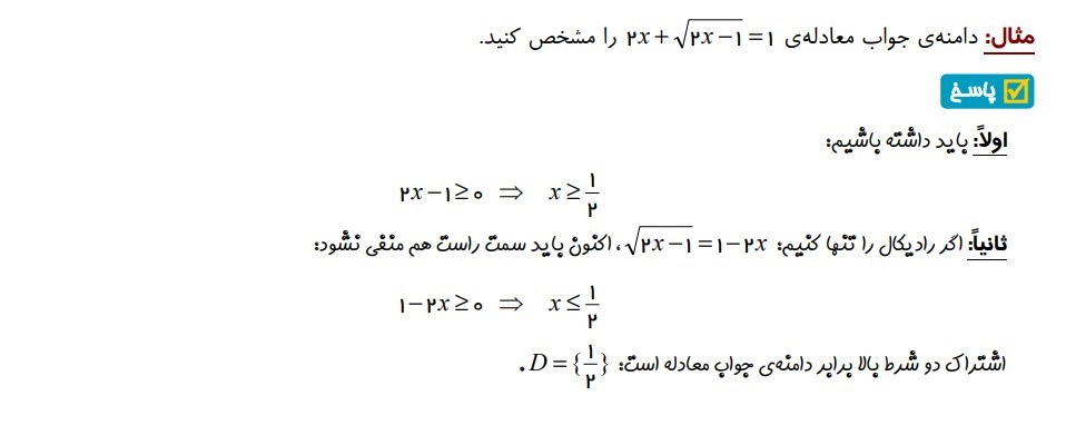
مثال 15 : (حل معادله گنگ)


مثال 16 : ( حل معادله گنگ)

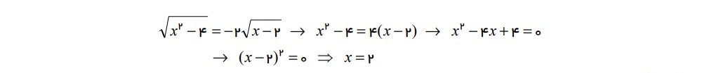
حالت ویژه ای در معادلات :

مثال 17 : (حالت ویژه معادلات)

مثال 18 : ( حالت ویژه در معادلات)


تست ها

آسان


متوسط


متوسط


متوسط


متوسط

🔵سوال چالشی🔵
(دوستان عزیز جواب خودتون رو در بخش کامنتها زیر همین پست اعلام بفرمایید)
!تذکر! حتما با صفحه شخصی خودتون جواب صحیح را کامنت کنید.
!تذکر! حداقل تعداد کامنت جواب درست برای قرعه کشی 15 عدد است، پس به دوستان خودتون هم این مطلب رو معرفی کنید تا شانس خودشون رو امتحان کنند.
به یک دانش آموز به قید قرعه که با صفحه شخصی خودش جواب درست رو کامنت کند، *30 دقیقه مشاوره رایگان از بنده* تعلق میگیرد.
جواب درست رو کامنت کنید، شاید شما برنده باشید :))
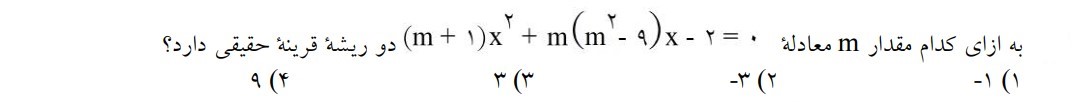
سخت

پاسخ تست شماره 6 ( چالشی و نکته دار) و همینطور نام برنده قرعه کشی در هر مطلب رو میتونید در مطلب بعدی همون درس از من برای ازمون بعد مشاهده بفرمایید.
به طور مثال : نام دانش آموز برنده و پاسخ تست چالشی این مطلب رو میتوانید در مطلب بعدی حسابان مربوط به درسنامه های ازمون 14 مرداد از بنده مشاهده بفرمایید.
برنده از بین کامنت های زیر همین مطلب قرعه کشی میشود و پاسخ اون کامنت رو بنده با * تبریک و پرسش شماره تلفن برای تماس مشاوره *خواهم داد.
هیچ اعلانی برای پاسخ کامنت برای کاربران سایت دریافت نمیشود، پس نیازه که حتما به مطلب مدام سر بزنید تا اگر شما برنده شدید، پاسخ کامنت را ببینید و آن از دست ندهید.
از توجه شما ممنونم. موفق باشید.



