سلام و درود خدمت همه یازدهمی های ریاضی عزیز 🖐
امیدوارم همیشه پر انرژی و سرحال باشید :))
در این مطلب درسنامه و تست فصل 2 حسابان 1، تابع ( دروس 3 و 4 ) رو بررسی خواهیم کرد.
فایل کامل این درسنامه به همراه پاسخ تشریحی تست ها به همراه فایل صوتی توضیح اجمالی این مطلب که توصیه میکنم حتما بهش گوش بدید، در انتهای مطلب ضمیمه شده است.
| رتبه 150 منطقه 2 کنکور 99 دانشجوی مکانیک دانشگاه صنعتی شریف |
🔴ویژگیهای مطلب🔴
درسنامه فصل 2 حسابان 1 - تابع ( درس 3 و 4)
شامل 5 تست از این درس به همراه یک تست با درجه سختی بیشتر (یک قدم فراتر) - * به همراه جایزه کامنت درست *
فایل PDF درسنامه و تست ها به همراه پاسخنامه تست ها ( از قسمت ضمیمه میتواند دانلود کنید )
ویس مقدمه و توضیح اجمالی درسنامه و تست ها
پاسخنامه روان
صفحه اینستاگرام و کانال تلگرام ما
برای ارتباط بیشتر با رتبه برترها و رزرو پشتیبان ویژه، پیج کانون برترها را دنبال کنید و به کانال فوق العاده تلگرامی کانون برترها ملحق بشید تا از مطالب عالی این کانال جا نمونید.
درسنامه
درس 3 - تابع یک به یک و وارون تابع
مفهوم تابع یک به یک را در ابتدای کار باید بدانیم و سپس با وارون تابع آشنا شویم.

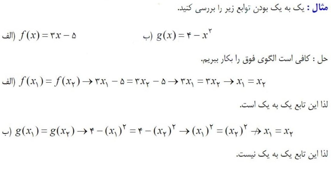
مثال 1 : (روش تشخیص تابع یک به یک)

توجه مهم : آزمون خط افقی در نمودار تابع برای تشخیص یک به یک بودن تابع

مثال 2 : ( انجام روش آزمون خط افقی برای تشخیص تابع یک به یک بودن)

حال که با تابع یک به یک آشنا شدیم، به سراغ تابع وارون یا معکوس تابع میرویم!


چگونه ضابطه وارون یک تابع را تشخیص داده و بنویسیم؟
- با دو روش : 1) تعویض متغیر ها 2) بازگردانی اعمال

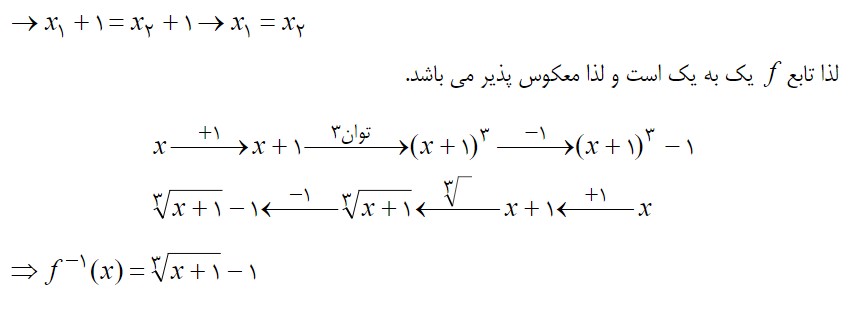
مثال 3 : ( تشخیص وارون پذیری یک تابع و نوشتن ضابطه آن )

روش دوم، بازگردانی اعمال، فیدبک به اعمالی که روی تابع انجام دادیم!

مثال 4 : ( تشخیص وارون پذیری یک تابع و نوشتن ضابطه وارون آن با استفاده از روش بازگردانی اعمال - به همراه نمودار انجام مراحل به صورت واضح و کامل)


مثال 5 : ( تشخیص وارون پذیری یک تابع و نوشتن ضابطه وارون آن با استفاده از روش بازگردانی اعمال)


ترفند تقلیل ( کم کردن تعداد) متغیر برای تعیین یک به یک بودن و وارون پذیری که اغلب استفاده کردن از قانون اتحاد ها و تجزیه کردن است، اغلب روشی بهینه و کارآمد در مواقعی است که تعیین یک به یک بودن مشکل است.

مثال 6 : ( ترفند تقلیل (کم کردن تعداد) متغیر ها با استفاده از روش اتحاد مکعب دو جمله ای برای تعیین یک به یک بودن)


مثال 7 : ( ترفند تقلیل (کم کردن تعداد) متغیر ها با استفاده از روش اتحاد مربع دو جمله ای برای تعیین یک به یک بودن)

اعمال روی توابع که در درس چهارم این فصل شرح داده شده، جزء مهمترین درس های حسابان یازدهم میباشد، پس به خوبی قوانین اعمال روی توابع را فرا بگیرید.

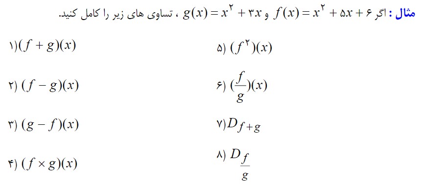
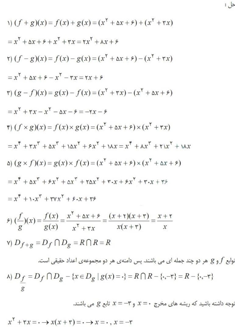
مثال 8 : اعمال روی توابع ( مثالی کامل و جامع که تمامی حالات اعمال روی توابع را یکجا دربر میگیرد )


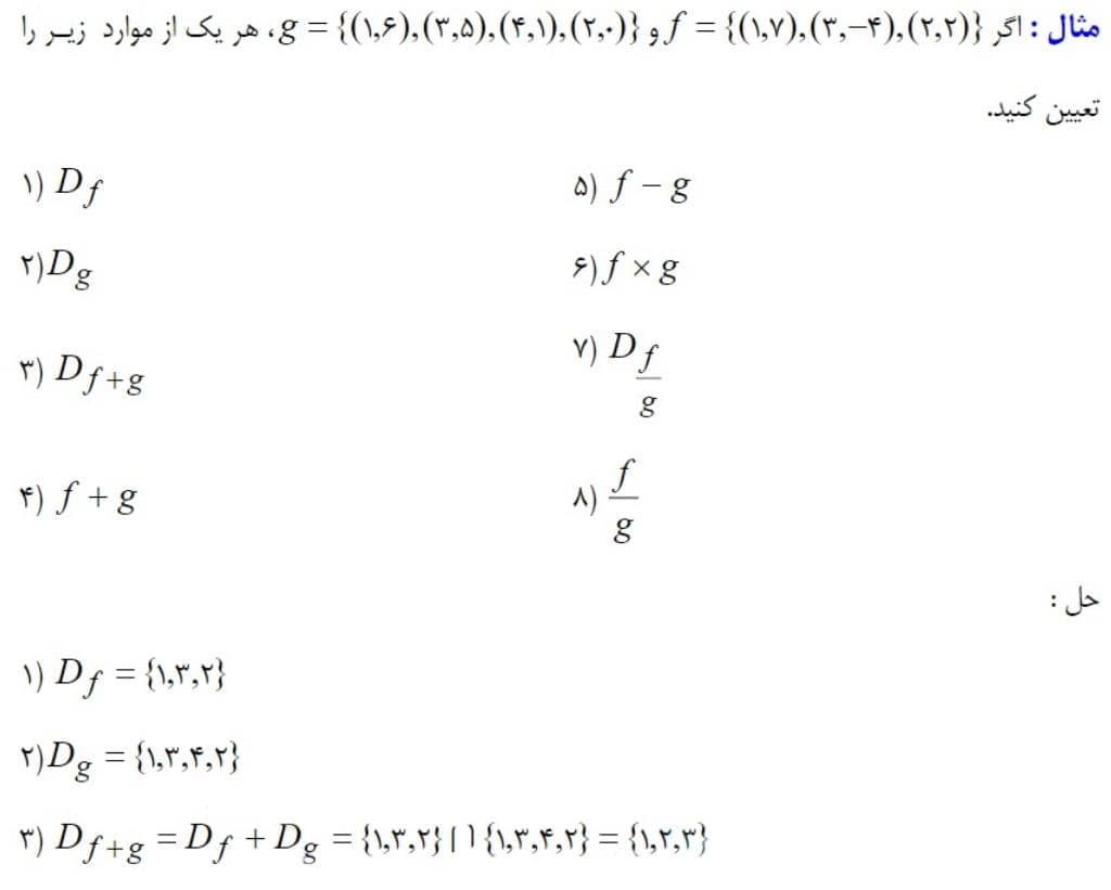
مثال 9 : ( اعمال روی توابعی که در صورت سوال به صورت زوج مرتبی داده شده است. زمانیکه توابع داده شده به صورت زوج مرتبی است می توانیم از جداول زیر برای حل اینگونه مسائل استفاده است )



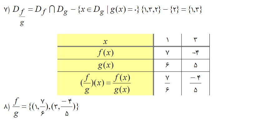
حال که اعمال مختلف روی دو تابع را باهم آموختیم و چند مثال از آن حل کردیم، به سراغ فرآیند مهمی که قرار است روی دو تابع انجام شود میرسیم، ترکیب توابع!
ترکیب توابع عمل سخت و پیچیده ای نیست تنها تمرکز موقع یادگیری آن میتواند فهم آن را برای شما ساده کند.

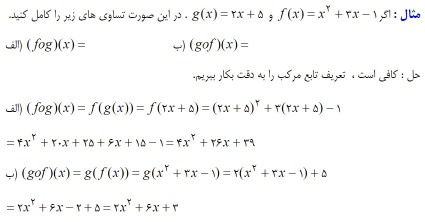
نکته مهم : دامنه تابع مرکب fog شامل یک شرط مهم است :

مثال 10 : ( ترکیب دو تابع - نوشتن تابع fog و gof )

نکته مهم درباره خاصیت توابع مرکب : خاصیت جابه جایی برای این توابع وجود ندارد.
حتی با جا به جایی توابع f و g ممکن است دامنه تابع هم تغییر یابد.

مثال 11 : (دامنه یابی طبق شرط مهم ترکیب توابع و ضابطه نویسی تابع مرکب)

مثال 12 : ( مثال کاربردی و مهم! در این مثال شما باید مقدار مجهول را طوری بیابید که اگر توابع را جابه جا کنیم، تغییری در مقدار آن بوجود نیاید.)

مثال 13 : (دامنه یابی طبق شرط مهم ترکیب توابع و ضابطه نویسی تابع مرکب - خروجی تابع را اینبار باید به صورت زوج مرتب بنویسیم)

تست ها

متوسط


متوسط


متوسط


متوسط


متوسط

🔵سوال چالشی🔵
(دوستان عزیز جواب خودتون رو در بخش کامنتها زیر همین پست اعلام بفرمایید)
!تذکر! حتما با صفحه شخصی خودتون جواب صحیح را کامنت کنید.
!تذکر! حداقل تعداد کامنت جواب درست برای قرعه کشی 15 عدد است، پس به دوستان خودتون هم این مطلب رو معرفی کنید تا شانس خودشون رو امتحان کنند.
به یک دانش آموز به قید قرعه که با صفحه شخصی خودش جواب درست رو کامنت کند، *30 دقیقه مشاوره رایگان از بنده* تعلق میگیرد.
جواب درست رو کامنت کنید، شاید شما برنده باشید :))
سخت

پاسخ تست شماره 6 ( چالشی و نکته دار) و همینطور نام برنده قرعه کشی در هر مطلب رو میتونید در مطلب بعدی همون درس از من برای ازمون بعد مشاهده بفرمایید.
به طور مثال : نام دانش آموز برنده و پاسخ تست چالشی این مطلب رو میتوانید در مطلب بعدی حسابان مربوط به درسنامه های ازمون 28 مرداد از بنده مشاهده بفرمایید.
برنده از بین کامنت های زیر همین مطلب قرعه کشی میشود و پاسخ اون کامنت رو بنده با * تبریک و پرسش شماره تلفن برای تماس مشاوره *خواهم داد.
هیچ اعلانی برای پاسخ کامنت برای کاربران سایت دریافت نمیشود، پس نیازه که حتما به مطلب مدام سر بزنید تا اگر شما برنده شدید، پاسخ کامنت را ببینید و آن از دست ندهید.
از توجه شما ممنونم. موفق باشید.



