سلام و درود خدمت همه یازدهمی های ریاضی عزیز 🖐
امیدوارم همیشه پر انرژی و سرحال باشید :))
در این مطلب درسنامه و تست فصل 2 حسابان 1، تابع ( دروس 1 و 2 ) رو بررسی خواهیم کرد.
فایل کامل این درسنامه به همراه پاسخ تشریحی تست ها به همراه فایل صوتی توضیح اجمالی این مطلب که توصیه میکنم حتما بهش گوش بدید، در انتهای مطلب ضمیمه شده است.
| رتبه 150 منطقه 2 کنکور 99 دانشجوی مکانیک دانشگاه صنعتی شریف |
🔴ویژگیهای مطلب🔴
درسنامه فصل 2 حسابان 1 - تابع ( درس 1 و 2)
شامل 5 تست از این درس به همراه یک تست با درجه سختی بیشتر (یک قدم فراتر) - * به همراه جایزه کامنت درست *
فایل PDF درسنامه و تست ها به همراه پاسخنامه تست ها ( از قسمت ضمیمه میتواند دانلود کنید )
ویس مقدمه و توضیح اجمالی درسنامه و تست ها
پاسخنامه روان
صفحه اینستاگرام و کانال تلگرام ما
برای ارتباط بیشتر با رتبه برترها و رزرو پشتیبان ویژه، پیج کانون برترها را دنبال کنید و به کانال فوق العاده تلگرامی کانون برترها ملحق بشید تا از مطالب عالی این کانال جا نمونید.
درسنامه
آشنایی بیشتر با تابع

مثال 1 : ( تعریف تابع به صورت نمایش پیکانی)

نکته مهم :

بیان دیگری از نتیجه گیری : از هر عضو A باید فقط یک پیکان خارج شود ولی به عضو های B میتواند چندین پیکان وارد شود یا به عضوی از آن هیچ پیکانی وارد نشود.
مثال 2 : در این مثال خواص تابع و حالات مجاز نمایش آن به صورت پیکانی رعایت شده است.(دقت کنید)

تذکر مهم : تمامی عضو هایی از B که با نوک پیکان مشخص شده اند، عضو مجموعه برد تابع هستند.

هم دامنه ! تعریف مهمی که باید تفاوت آن با برد تابع را بدانید و در ذهن بسپرید.


تفاوت هم دامنه و برد : برد تابع همواره زیر مجموعه یا مساوی هم دامنه تابع است.

تذکر : حتما باید مجموعه ای را به عنوان هم دامنه تابع انتخاب کرد که همه ی عضو های برد در این مجموعه باشند ( حتی اگر مجبور باشیم خود مجموعه برد تابع را به عنوان هم دامنه انتخاب کنیم! )

تذکر : ( در سوال های خاص دو حالت برای تشخیص دامنه تابع وجود دارد : 1) از روی مجموعه داده شده A و 2) از روی ضابطه تابع )


تابع را به صورت ماشین تعریف میکنیم، مثل همیشه!

مثال 3 : ( مثالی جامع و کامل از حل تابع به عنوان یک ماشین )

مبحث برابری دو تابع به همراه شرط های برابری و دارای پتانسیل بالای طرح سوال کنکوری و در آزمون های متعدد کانون

صفر تا 100 برابری دو تابع !

تابع گویا

مهمترین و ساده ترین تابع گویا ! تابع هموگرافیک !

مفهوم انتقال در توابع با حل دو مثال ( مثال های 4 و 5)


تعریف توابع گویا ( جاهای خالی موارد پ و ت را حتما خودتان روی کاغذ نوشته و پر کنید)

نکته فوق العاده مهم حین یافتن دامنه توابع گویا

مثال 4 : ( دامنه یابی توابع گویا و برابری دو تابع و رسم تابع )

نکته : حل مسائل واقعی و کاربردی دشوار تر از مسائل تئوری است

مثال 5 : مسئله واقعی!


مثال 6 :( حالت دیگری از دامنه یابی ، با استفاده از تعداد ریشه های مخرج و علامت دلتا )

مثال 7 : ( حالت دیگری از دامنه یابی ، با استفاده از تعداد ریشه های مخرج و علامت دلتا )

مثال 8 : تعیین برد تابع

مثال 9 : ( تعیین دامنه تابع و بررسی وجود عددی مشخص در برد تابع )


مثال 10 : ( تعیین دامنه تابع و بررسی وجود عددی مشخص ( به صورت متغیر ) در برد تابع )

مثال 11 : ( تعیین دامنه توابع شامل قدر مطلق )

تعریف توابع رادیکالی
آشنایی با تابع رادیکال ایکس و دامنه و برد آن


رسم توابع رادیکالی انتقال یافته از روی تابع رادیکال ایکس

مثال 12 : رسم توابع رادیکالی انتقال یافته از روی تابع رادیکال ایکس

نکته و مثال 13 : تعیین دامنه رادیکالی

مثال 14 : تعیین دامنه توابع رادیکالی

مثال 15 : تعیین دامنه تابع انتقال یافته از روی دامنه تابع اصلی
نکته و تذکر مهم : بررسی تابع بودن یک ضابطه داده شده

مثال 16 : تشخیص تابع بودن یک ضابطه

راه برهان خلف برای اثبات تابع بودن یک ضابطه

مثال 17 : ( تشخیص تابع بودن ضابطه از راه برهان خلف )

تابع پله ای چیست ؟ ( مبحث مهم )

تعریف تابع جزء صحیح
مثال 18 : حل مثال جزء صحیح

نتایج گرفته شده از خواص جزء صحیح
نتیجه 1 و 2

مثال 19 : حل معادله شامل جزء صحیح

نتیجه 3

نتیجه 4

نکته های جزء صحیح رو جدی بگیرید!

مثال 20 : حل معادله شامل جزء صحیح

نتیجه 5

نکته مهم : دو رابطه گفته شده در موارد الف و ب را حتما حفظ کنید

مثال 21 : حل معادله شامل جزء صحیح با استفاده از نتایج و نکات گفته شده

نکته مهم : شروط زیر را برای جزء صحیح حفظ کنید

مثال 22 : استفاده از خواص جزء صحیح

بعد از یادگیری مباحث اولیه درباره جزءصحیح ، میرسیم به تابع جزء صحیح و رسم آن

دو تابع معروف جزء صحیح را حتما باید یادبگیرید و آنهارا در ذهن بسپارید


چگونه بتوانیم توابع جزء صحیح انتقال یافته را از روی تابع اصلی جزء صحیح رسم کنیم.

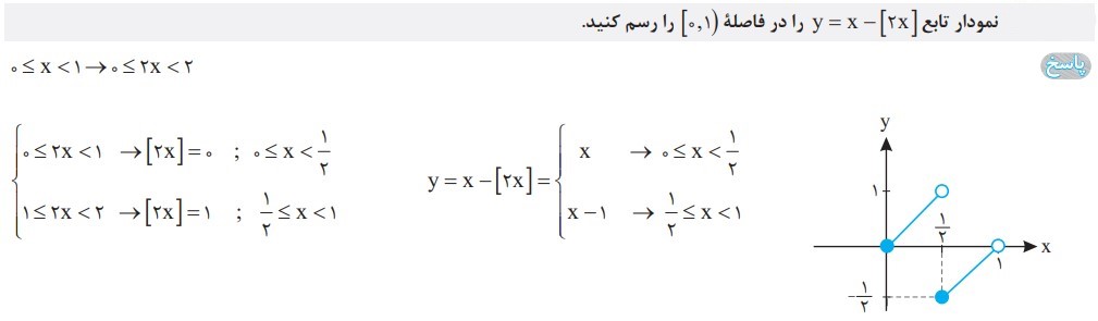
مثال 23 : رسم نمودار جزءصحیح با دامنه تعریف شده و محدود

نکاتی که باید درباره توابع جزء صحیحی انتقال یافته از روی تابع اصلی جزء صحیح بدانید

مثال 24

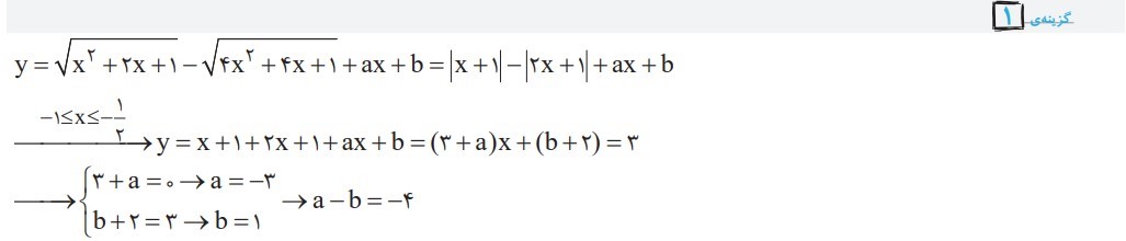
تست ها

متوسط


متوسط


متوسط


متوسط


متوسط

🔵سوال چالشی🔵
(دوستان عزیز جواب خودتون رو در بخش کامنتها زیر همین پست اعلام بفرمایید)
!تذکر! حتما با صفحه شخصی خودتون جواب صحیح را کامنت کنید.
!تذکر! حداقل تعداد کامنت جواب درست برای قرعه کشی 15 عدد است، پس به دوستان خودتون هم این مطلب رو معرفی کنید تا شانس خودشون رو امتحان کنند.
به یک دانش آموز به قید قرعه که با صفحه شخصی خودش جواب درست رو کامنت کند، *30 دقیقه مشاوره رایگان از بنده* تعلق میگیرد.
جواب درست رو کامنت کنید، شاید شما برنده باشید :))
سخت

پاسخ تست شماره 6 ( چالشی و نکته دار) و همینطور نام برنده قرعه کشی در هر مطلب رو میتونید در مطلب بعدی همون درس از من برای ازمون بعد مشاهده بفرمایید.
به طور مثال : نام دانش آموز برنده و پاسخ تست چالشی این مطلب رو میتوانید در مطلب بعدی حسابان مربوط به درسنامه های ازمون 28 مرداد از بنده مشاهده بفرمایید.
برنده از بین کامنت های زیر همین مطلب قرعه کشی میشود و پاسخ اون کامنت رو بنده با * تبریک و پرسش شماره تلفن برای تماس مشاوره *خواهم داد.
هیچ اعلانی برای پاسخ کامنت برای کاربران سایت دریافت نمیشود، پس نیازه که حتما به مطلب مدام سر بزنید تا اگر شما برنده شدید، پاسخ کامنت را ببینید و آن از دست ندهید.
*پاسخ سوال های شماره 6 مطالب حسابان مربوط به آزمون 31 تیر 1401*
جبر و معادله _ سری اول

جبر و معادله - سری دوم

جبر و معادله - سری سوم

از توجه شما ممنونم. موفق باشید.



