سلام و درود خدمت همه یازدهمی های ریاضی عزیز 🖐
امیدوارم همیشه پر انرژی و سرحال باشید :))
در این مطلب درسنامه و تست فصل 3 حسابان 1، توابع نمایی و لگاریتمی رو بررسی خواهیم کرد.
فایل کامل این درسنامه به همراه پاسخ تشریحی تست ها به همراه فایل صوتی توضیح اجمالی این مطلب که توصیه میکنم حتما بهش گوش بدید، در انتهای مطلب ضمیمه شده است.
| رتبه 150 منطقه 2 کنکور 99 دانشجوی مکانیک دانشگاه صنعتی شریف |
🔴ویژگیهای مطلب🔴
درسنامه فصل 3 حسابان 1 - توابع نمایی و لگاریتمی
شامل 5 تست از این درس به همراه یک تست با درجه سختی بیشتر (یک قدم فراتر) - * به همراه جایزه کامنت درست *
فایل PDF درسنامه و تست ها به همراه پاسخنامه تست ها ( از قسمت ضمیمه میتواند دانلود کنید )
ویس مقدمه و توضیح اجمالی درسنامه و تست ها
پاسخنامه روان
صفحه اینستاگرام و کانال تلگرام ما
برای ارتباط بیشتر با رتبه برترها و رزرو پشتیبان ویژه، پیج کانون برترها را دنبال کنید و به کانال فوق العاده تلگرامی کانون برترها ملحق بشید تا از مطالب عالی این کانال جا نمونید.
درسنامه
بخش اول - توضیح و معرفی تابع نمایی

نکته 1 : به حالات مختلف پایه تابع نمایی و شکل نمودار های آن با دقت توجه کنید!
نکته 2 : وجه اشتراک دو حالت و نمودار، قطع محورY ها در نقطه (1و0) است. ( هر عدد به توان صفر، برابر 1 است)
مثال 1 : شرط تابع نمایی و تشکیل آن

مثال 2 : حل تابع نمایی و یادگیری خواص آن

مثال 3 : تلاقی نمودار نمایی و نمودار های توابع دیگر

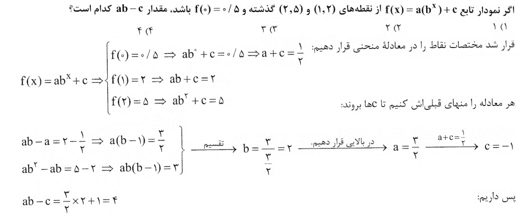
مثال 4 : تشکیل ضابطه و نوشتن آن از روی نمودار

مثال 5 : ضابطه طراحی شده برحسب نمایی و پیدا کردن مجهولات مسئله





مثال 6 : شرط نزولی بودن تابع نمایی


مثال 7 : پیدا کردن مجهولات ضابطه تابع نمایی از روی نمودار آن و نقاطی که محور مختصات را قطع میکند


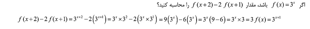
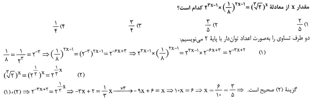
مثال 8 : حل معادله نمایی - نا معادلات نمایی از روی معادلات و با در نظر گیری دو شرط حل میشود


مثال 9 : مفهوم و درک مقدار یابی لگاریتم






مثال 10 : انتقال یابی توابع لگاریتمی



مثال 11 : دامنه یابی توابع لگاریتمی


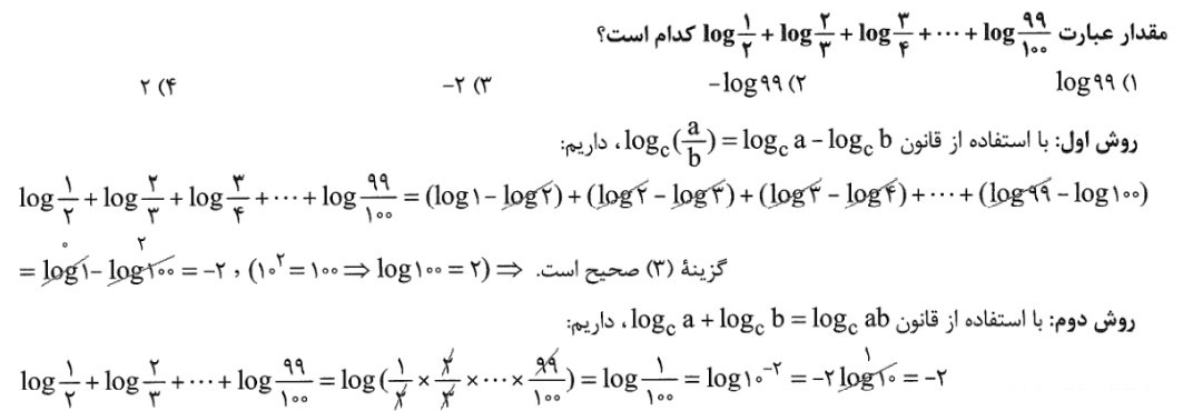
مثال 12 : خواص لگاریتم



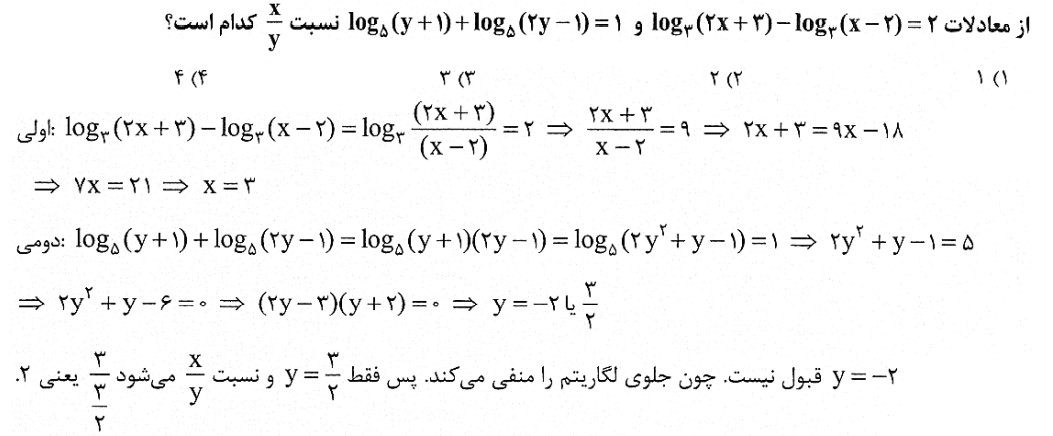
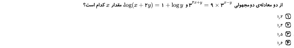
مثال 13 : معادلات لگاریتمی - مشابه توابع نمایی، نامعادلات لگاریتمی هم با درنظرگیری دو شرط و از تقریبا مشابه روند معادلات لگاریتمی انجام میشود.




مثال 14 : پیدا کردن مجهولات ضابه لگاریتمی از روی فرضیات مسئله درباره شرایط قطع کردن محور های مختصات


تست ها









🔵سوال چالشی🔵
(دوستان عزیز جواب خودتون رو در بخش کامنتها زیر همین پست اعلام بفرمایید)
!تذکر! حتما با صفحه شخصی خودتون جواب صحیح را کامنت کنید.
!تذکر! حداقل تعداد کامنت جواب درست برای قرعه کشی 15 عدد است، پس به دوستان خودتون هم این مطلب رو معرفی کنید تا شانس خودشون رو امتحان کنند.
به یک دانش آموز به قید قرعه که با صفحه شخصی خودش جواب درست رو کامنت کند، *30 دقیقه مشاوره رایگان از بنده* تعلق میگیرد.
جواب درست رو کامنت کنید، شاید شما برنده باشید :))

پاسخ تست شماره 6 ( چالشی و نکته دار) و همینطور نام برنده قرعه کشی در هر مطلب رو میتونید در مطلب بعدی همون درس از من برای ازمون بعد مشاهده بفرمایید.
به طور مثال : نام دانش آموز برنده و پاسخ تست چالشی این مطلب رو میتوانید در مطلب بعدی حسابان مربوط به درسنامه های ازمون 11 شهریور از بنده مشاهده بفرمایید.
برنده از بین کامنت های زیر همین مطلب قرعه کشی میشود و پاسخ اون کامنت رو بنده با * تبریک و پرسش شماره تلفن برای تماس مشاوره *خواهم داد.
هیچ اعلانی برای پاسخ کامنت برای کاربران سایت دریافت نمیشود، پس نیازه که حتما به مطلب مدام سر بزنید تا اگر شما برنده شدید، پاسخ کامنت را ببینید و آن از دست ندهید.
*پاسخ تست شماره 6 مطلب تابع (1) مربوط به آزمون 14 مرداد ماه*

*پاسخ تست شماره 6 مطلب تابع (2) مربوط به آزمون 14 مرداد ماه*

مطالب قبلی را میتوانید از طریق لینک های زیر دسترسی داشته باشید:
جبر و معادله (دروس 1 و 2) - درسنامه و تست - محمد مهدی کربلایی
جبر و معادله (دروس 2 و 3 ) - درسنامه و تست - محمد مهدی کربلایی
تابع (1) - درسنامه و تست - محمد مهدی کربلایی
تابع (2) - درسنامه و تست - محمد مهدی کربلایی
از توجه شما ممنونم. موفق باشید.



