سلام و درود خدمت همه دهمی های ریاضی و تجربی عزیز 🖐
امیدوارم همیشه پر انرژی و سرحال باشید :))
در این مطلب درسنامه و تست فصل 6 ریاضی دهم ، شمارش بدون شمردن رو بررسی خواهیم کرد.
فایل کامل این درسنامه به همراه پاسخ تشریحی تست ها به همراه فایل صوتی توضیح اجمالی این مطلب که توصیه میکنم حتما بهش گوش بدید، در انتهای مطلب ضمیمه شده است.
| رتبه 150 منطقه 2 کنکور 99 دانشجوی مکانیک دانشگاه صنعتی شریف |
🔴ویژگیهای مطلب🔴
درسنامه فصل6 ریاضی دهم - شمارش بدون شمردن
شامل 5 تست از این درس به همراه یک تست با درجه سختی بیشتر (یک قدم فراتر) - * به همراه جایزه کامنت درست *
فایل PDF درسنامه و تست ها به همراه پاسخنامه تست ها ( از قسمت ضمیمه میتواند دانلود کنید )
ویس مقدمه و توضیح اجمالی درسنامه و تست ها
پاسخنامه روان
صفحه اینستاگرام و کانال تلگرام ما
برای ارتباط بیشتر با رتبه برترها و رزرو پشتیبان ویژه، پیج کانون برترها را دنبال کنید و به کانال فوق العاده تلگرامی کانون برترها ملحق بشید تا از مطالب عالی این کانال جا نمونید.
همچنین می توانید با شماره 0218451 داخلی 3123 تماس بگیرید.
نام برندگان مطالب قبل که پاسخ درست رو کامنت کردند و از کامنت ها برگزیده شدند
این عزیزان در کامنت های همین مطلب ، با صفحه شخصی خودشون، شماره تماس به همراه نام و نام خانوادگی رو به صورت کامل برای من کامنت کنند تا با آنها تماس گرفته شود
هادی باقرلو، یازدهم ریاضی - خوی - میانگین تراز 6389
پریسا بی تقصیر فدافن، دوازدهم ریاضی - شاهرود
نیایش محمودی نژاد، یازدهم تجربی - گچساران
محمدامین محبی، نهم - کنگاور
درسنامه
شمارش بدون شمردن
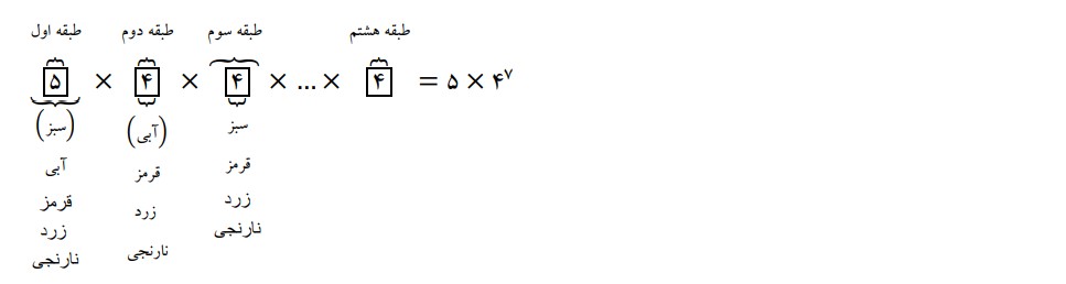
تعریف اصل ضرب

مثال 1 : استفاده از اصل ضرب (به همراه شکل کلی حل سوال جهت فهم بیشتر )


تعریف اصل ضرب و تعمیم اصل ضرب طبق کتاب درسی ریاضی دهم


تعریف اصل جمع به همراه مثال 2 : به همراه شکل کلی حل سوال جهت فهم بیشتر


تعریف اصل جمع و تعمیم اصل جمع طبق کتاب درسی ریاضی دهم


فاکتوریل - تعریفی در ریاضیات که شاید نام آن را شنیده باشید!

نکات مهم در مبحث فاکتوریل : خواص فاکتوریل را بشناسید!

تعریف جایگشت :


تعریف دیگری از جایگشت



مثال 3 : جایگشت ارقام - به همراه توضیح کلی راه حل


نکته مهم در مبحث جایگشت : قرار گرفتن افراد دور میز! (جایگشت دوری)

تعریف ترتیب

مثال 4 : استفاده از ترتیب

تعریف ترکیب، آن را با ترتیب اشتباه نگیرید!
قواعد مهم در ترکیب


مثال 5 : استفاده از اصل جمع و ضرب


مثال 6 : استفاده از اصل ضرب و جمع


مثال 7 : اصل ضرب

مثال 8 : اصل جمع و ضرب

مثال 9 : استفاده از اصل ضرب ( طبق شرایط مسئله : تکراری نبودن !)


مثال 10 : استفاده از ترتیب

مثال 11 : استفاده از جایگشت

مثال 12 : اصل ضرب و جمع

مثال 13 : استفاده از ترتیب











🔵سوال چالشی🔵
(دوستان عزیز جواب خودتون رو در بخش کامنتها زیر همین پست اعلام بفرمایید)
!تذکر! حتما با صفحه شخصی خودتون جواب صحیح را کامنت کنید.
!تذکر! حداقل تعداد کامنت جواب درست برای قرعه کشی 15 عدد است، پس به دوستان خودتون هم این مطلب رو معرفی کنید تا شانس خودشون رو امتحان کنند.
به یک دانش آموز به قید قرعه که با صفحه شخصی خودش جواب درست رو کامنت کند، *30 دقیقه مشاوره رایگان از بنده* تعلق میگیرد.
جواب درست رو کامنت کنید، شاید شما برنده باشید :))

پاسخ تست شماره 6 ( چالشی و نکته دار) و همینطور نام برنده قرعه کشی در هر مطلب رو میتونید در مطلب بعدی همون درس از من برای ازمون بعد مشاهده بفرمایید.
به طور مثال : نام دانش آموز برنده و پاسخ تست چالشی این مطلب رو میتوانید در مطلب بعدی ریاضی دهم مربوط به درسنامه های ازمون 11 شهریور از بنده مشاهده بفرمایید.
برنده از بین کامنت های زیر همین مطلب قرعه کشی میشود و پاسخ اون کامنت رو بنده با * تبریک و پرسش شماره تلفن برای تماس مشاوره *خواهم داد.
هیچ اعلانی برای پاسخ کامنت برای کاربران سایت دریافت نمیشود، پس نیازه که حتما به مطلب مدام سر بزنید تا اگر شما برنده شدید، پاسخ کامنت را ببینید و آن از دست ندهید.
*پاسخ تست چالشی شماره 6 مطلب تابع مربوط به آزمون 28 مرداد ماه*

نام برندگان مطالب قبل که پاسخ درست رو کامنت کردند و از کامنت ها برگزیده شدند
این عزیزان در کامنت های همین مطلب ، با صفحه شخصی خودشون، شماره تماس به همراه نام و نام خانوادگی رو به صورت کامل برای من کامنت کنند تا با آنها تماس گرفته شود
هادی باقرلو، یازدهم ریاضی - خوی - میانگین تراز 6389
پریسا بی تقصیر فدافن، دوازدهم ریاضی - شاهرود
نیایش محمودی نژاد، یازدهم تجربی - گچساران
محمدامین محبی، نهم - کنگاور
مطالب قبلی را میتوانید از طریق لینک های زیر دسترسی داشته باشید:
مجموعه، الگو و دنباله - ریاضی دهم -درسنامه وتست-محمد کربلایی
مثلثات - ریاضی دهم - درسنامه و تست - محمد مهدی کربلایی
توانهای گویا و عبارتهای جبری(1) -درسنامه و تست -محمد کربلایی
توانهای گویا و عبارتهای جبری(2) -درسنامه و تست -محمد کربلایی
معادله و نامعادله - ریاضی دهم - درسنامه و تست - محمد کربلایی
تابع - ریاضی دهم - درسنامه و تست - محمد کربلایی
از توجه شما ممنونم. موفق باشید.



