سلام و درود خدمت همه دهمی های ریاضی و تجربی عزیز 🖐
امیدوارم همیشه پر انرژی و سرحال باشید :))
در این مطلب درسنامه و تست فصل 3 ریاضی دهم ، توان های گویا و عبارت های جبری (دو درس اول این فصل) رو بررسی خواهیم کرد.
فایل کامل این درسنامه به همراه پاسخ تشریحی تست ها به همراه فیل صوتی توضیح اجمالی این مطلب که توصیه میکنم حتما بهش گوش بدید، در انتهای مطلب ضمیمه شده است.
| رتبه 150 منطقه 2 کنکور 99 دانشجوی مکانیک دانشگاه صنعتی شریف |
🔴ویژگیهای مطلب🔴
درسنامه فصل3 ریاضی دهم - توان های گویا و عبارت های جبری (دو درس اول)
شامل 5 تست از این درس به همراه یک تست با درجه سختی بیشتر (یک قدم فراتر) - * به همراه جایزه کامنت درست *
فایل PDF درسنامه و تست ها به همراه پاسخنامه تست ها ( از قسمت ضمیمه میتواند دانلود کنید )
ویس مقدمه و توضیح اجمالی درسنامه و تست ها
پاسخنامه روان
صفحه اینستاگرام و کانال تلگرام ما
برای ارتباط بیشتر با رتبه برترها و رزرو پشتیبان ویژه، پیج کانون برترها را دنبال کنید و به کانال فوق العاده تلگرامی کانون برترها ملحق بشید تا از مطالب عالی این کانال جا نمونید.
همچنین می توانید با شماره 0218451 داخلی 3123 تماس بگیرید.
درسنامه
درس اول - ریشه و توان
یادآوری ریشه های دوم و سوم یک عدد حقیقی ( تعریف ریشه و توان عدد حقیقی a )

مثال 1 : (حل مثال و نکته از نحوه ریشه دوم گیری)

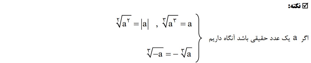
نکته بسیار مهم :

نکته : ( ریشه و توان سوم عدد حقیقی a)

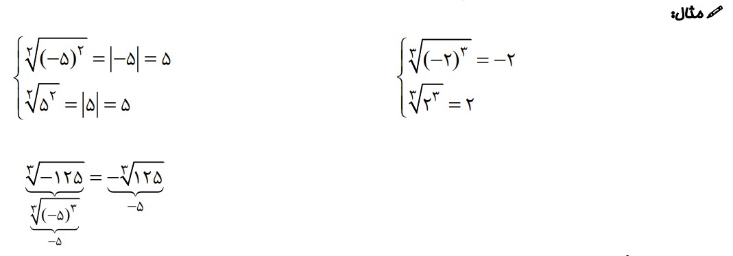
مثال 2 : ( ریشه و توان سوم)


نکته درباره علامت ریشه گیری مرتبه سوم :

در حالت کلی نکات زیر برای عدد حقیقی a برقرار است : ( مثال خیلی مهم )


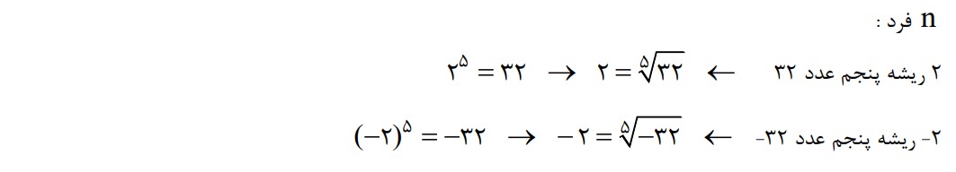
تعریف ریشه n ام :


مثال 3 : (ریشه گیری در حالات مختلف n )



نکته بسیار مهم :( سوال متداول : چه زمان حین ریشه گیری از قدر مطلق استفاده میکنیم؟) ( همراه با مثال 4 و 5)

نحوه نمایش ریشه ها بر روی محور اعداد حقیقی : ( مثال کامل حل این موضوع) ( همراه با مثال 6)


سوال متداول : چگونه ریشه های مختلف یک عدد حقیقی را از کوچک به بزرگ بنویسیم ؟؟ ( همراه با مثال 7)

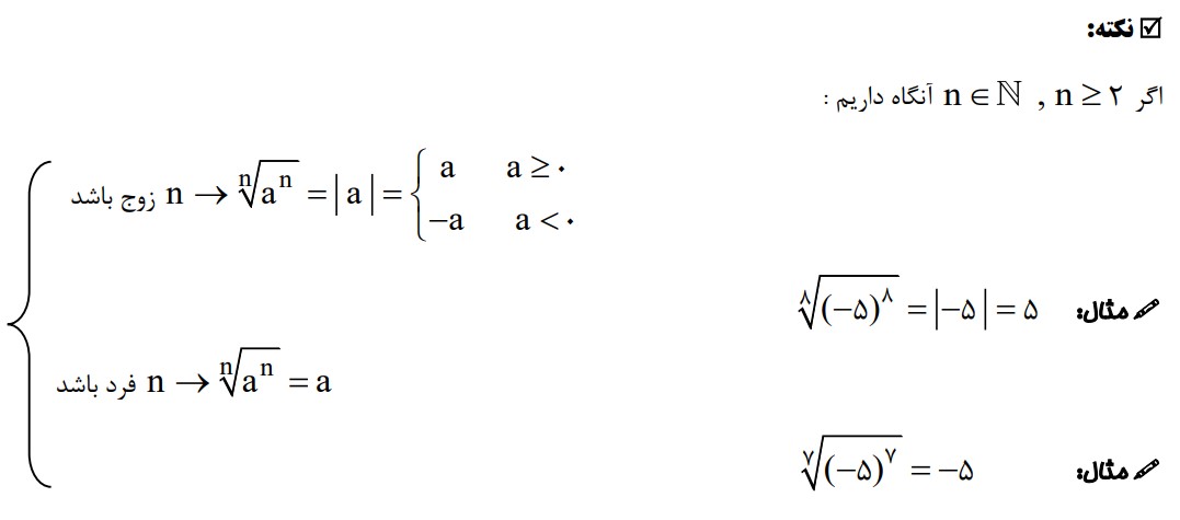
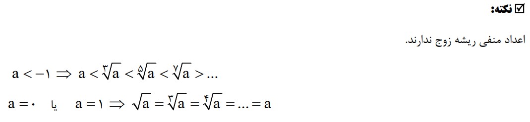
* نکته بسیار مهم *
در حالتی که عدد حقیقی از منفی یک کوچکتر است، با بالارفتن مرتبه ریشه گیری، حاصل عدد کوچکتری( منفی تری ) میشود.

مقایسه ریشه n ام اعداد حقیقی

در درس دوم به قواعد رادیکال ها و توان های گویا میپردازیم ( سوالات متداولی در قواعد رادیکال ها و توان نویسی ها وجود دارد که باید به آن توجه ویژه ای داشته باشید)

مثال 8 : (قاعده توان نویسی)

نکته فوق العاده مهم : ( قرارداد مهم ! به حافظه بسپارید :توان های کسری یا به صورت تقسیم دو عدد صحیح برای اعداد منفی تعریف نمیشود! ) ( مثال 9 و 10 )


تعریف دقیق عدد حقیقی a به توان عددی کسری یا تقسیم دو عدد صحیح بر هم (همراه با مثال 11)


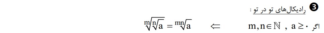
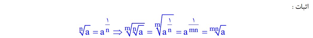
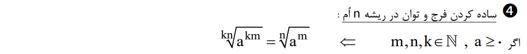
7 قاعده کلی درباره رادیکال ها ( همراه با اثبات ) ( همراه با مثال 12 ،13 )












فرمول بسیار کاربردی برای حل رادیکال های مرکب ( عبارت شامل رادیکال داخل رادیکال بزرگتر و هم فرجه 2 !)

تست ها

آسان


متوسط


متوسط


متوسط


متوسط

🔵سوال چالشی🔵
(دوستان عزیز جواب خودتون رو در بخش کامنتها زیر همین پست اعلام بفرمایید)
!تذکر! حتما با صفحه شخصی خودتون جواب صحیح را کامنت کنید.
!تذکر! حداقل تعداد کامنت جواب درست برای قرعه کشی 15 عدد است، پس به دوستان خودتون هم این مطلب رو معرفی کنید تا شانس خودشون رو امتحان کنند.
به یک دانش آموز به قید قرعه که با صفحه شخصی خودش جواب درست رو کامنت کند، *30 دقیقه مشاوره رایگان از بنده* تعلق میگیرد.
جواب درست رو کامنت کنید، شاید شما برنده باشید :))
سخت

پاسخ تست شماره 6 ( چالشی و نکته دار) و همینطور نام برنده قرعه کشی در هر مطلب رو میتونید در مطلب بعدی همون درس از من برای ازمون بعد مشاهده بفرمایید.
به طور مثال : نام دانش آموز برنده و پاسخ تست چالشی این مطلب رو میتوانید در مطلب بعدی حسابان مربوط به درسنامه های ازمون 28 مرداد از بنده مشاهده بفرمایید.
برنده از بین کامنت های زیر همین مطلب قرعه کشی میشود و پاسخ اون کامنت رو بنده با * تبریک و پرسش شماره تلفن برای تماس مشاوره *خواهم داد.
هیچ اعلانی برای پاسخ کامنت برای کاربران سایت دریافت نمیشود، پس نیازه که حتما به مطلب مدام سر بزنید تا اگر شما برنده شدید، پاسخ کامنت را ببینید و آن از دست ندهید.
*پاسخ تست شماره 6 مطلب مثلثات مربوط به آزمون 31 تیرماه*



از توجه شما ممنونم. موفق باشید.



