سلام و درود خدمت همه دهمی های ریاضی و تجربی عزیز 🖐
امیدوارم همیشه پر انرژی و سرحال باشید :))
در این مطلب درسنامه و تست فصل 2 ریاضی دهم ، مثلثات رو بررسی خواهیم کرد.
فایل کامل این درسنامه به همراه پاسخ تشریحی تست ها به همراه فیل صوتی توضیح اجمالی این مطلب که توصیه میکنم حتما بهش گوش بدید، در انتهای مطلب ضمیمه شده است.
| رتبه 150 منطقه 2 کنکور 99 دانشجوی مکانیک دانشگاه صنعتی شریف |
🔴ویژگیهای مطلب🔴
درسنامه فصل2 ریاضی دهم - مثلثات
شامل 5 تست از این درس به همراه یک تست با درجه سختی بیشتر (یک قدم فراتر) - * به همراه جایزه کامنت درست *
فایل PDF درسنامه و تست ها به همراه پاسخنامه تست ها ( از قسمت ضمیمه میتواند دانلود کنید )
ویس مقدمه و توضیح اجمالی درسنامه و تست ها
پاسخنامه روان
صفحه اینستاگرام و کانال تلگرام ما
برای ارتباط بیشتر با رتبه برترها و رزرو پشتیبان ویژه، پیج کانون برترها را دنبال کنید و به کانال فوق العاده تلگرامی کانون برترها ملحق بشید تا از مطالب
عالی این کانال جا نمونید.
همچنین می توانید با شماره 0218451 داخلی 3123 تماس بگیرید.
درسنامه
تعریف نسبت های مثلثاتی

نکات قابل توجه و نسبت هایی که باید حفظ باشید :

دانش آموزان عزیز! مثال هایی که برای شما ارائه میشود همه برای فهم بهتر مطالب ارائه شده است و اکثر آنها دارای نکاتی قابل توجه و کنکوری است، پس راه حل مثال ها را به خوبی و با دقت تحلیل کنید تا یادگیری تان کامل شود.
مثال 1 :


مثال 2 :

مثال 3 :

روابط طولی در مثلث

مثال 4 :

نکات قابل توجه در روابط طولی مثلث

مثال 5 :


مثال 6 :

مثال 7 :

دایره مثلثاتی

نکته مهم : نسبت های مثلثاتی روی دایره مثلثاتی

مثال 8 :

نکات مهم درباره علامت نسبت های مثلثاتی در ربع های مختلف دایره مثلثاتی


مثال 9 :

محور نسبت های مثلثاتی


مثال 10 :
نکته مهم :

مثال 11 :

رابطه شیب خط و تانژانت زاویه

مثال 12 :

روابط بین نسبت های مثلثاتی زاویه آلفا


روابط زیر با تاکید، پیشنهاد میشه که بلد باشید :

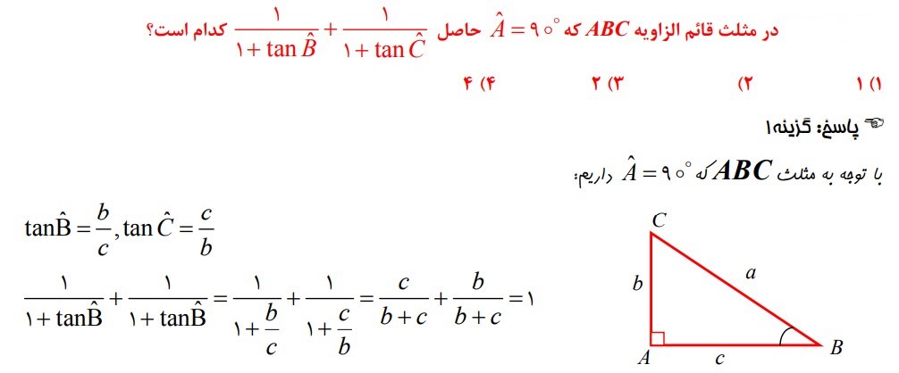
تست ها
متوسط

متوسط


متوسط


متوسط


متوسط

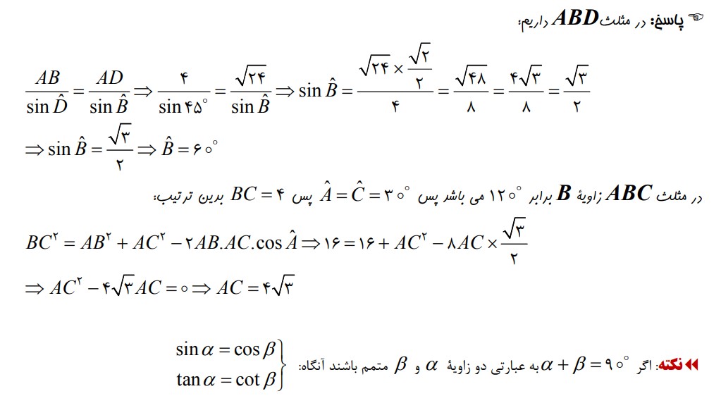
🔵سوال چالشی🔵
(دوستان عزیز جواب خودتون رو در بخش کامنتها زیر همین پست اعلام بفرمایید)
!تذکر! حتما با صفحه شخصی خودتون جواب صحیح را کامنت کنید.
!تذکر! حداقل تعداد کامنت جواب درست برای قرعه کشی 15 عدد است، پس به دوستان خودتون هم این مطلب رو معرفی کنید تا شانس خودشون رو امتحان کنند.
به یک دانش آموز به قید قرعه که با صفحه شخصی خودش جواب درست رو کامنت کند، *30 دقیقه مشاوره رایگان از بنده* تعلق میگیرد.
جواب درست رو کامنت کنید، شاید شما برنده باشید :))
سخت

پاسخ تست شماره 6 ( چالشی و نکته دار) و همینطور نام برنده قرعه کشی در هر مطلب رو میتونید در مطلب بعدی همون درس از من برای ازمون بعد مشاهده بفرمایید.
به طور مثال : نام دانش آموز برنده و پاسخ تست چالشی این مطلب رو میتوانید در مطلب بعدی حسابان مربوط به درسنامه های ازمون 14 مرداد از بنده مشاهده بفرمایید.
برنده از بین کامنت های زیر همین مطلب قرعه کشی میشود و پاسخ اون کامنت رو بنده با * تبریک و پرسش شماره تلفن برای تماس مشاوره *خواهم داد.
هیچ اعلانی برای پاسخ کامنت برای کاربران سایت دریافت نمیشود، پس نیازه که حتما به مطلب مدام سر بزنید تا اگر شما برنده شدید، پاسخ کامنت را ببینید و آن از دست ندهید.
از توجه شما ممنونم. موفق باشید.



