سلام و درود خدمت همه دهمی های ریاضی و تجربی عزیز 🖐
امیدوارم همیشه پر انرژی و سرحال باشید :))
در این مطلب درسنامه و تست درس 1 ریاضی دهم، مجموعه ، الگو و دنباله برای رشته ریاضی و تجربی رو بررسی خواهیم کرد.
فایل کامل این درسنامه به همراه پاسخ تشریحی تست ها به همراه ویس توضیح اجمالی این مطلب که توصیه میکنم حتما بهش گوش بدید، در انتهای مطلب ضمیمه شده است.
| رتبه 150 منطقه 2 کنکور 99 دانشجوی مکانیک دانشگاه صنعتی شریف |
🔴ویژگیهای مطلب🔴
درسنامه درس 1 ریاضی دهم - مجموعه ، الگو و دنباله
شامل 5 تست از این درس به همراه یک تست با درجه سختی بیشتر (یک قدم فراتر) - * به همراه جایزه کامنت درست *
فایل PDF درسنامه و تست ها به همراه پاسخنامه تست ها ( از قسمت ضمیمه میتواند دانلود کنید )
ویس مقدمه و توضیح اجمالی درسنامه و تست ها
پاسخنامه روان
🔵عضویت در کانال تلگرامی کانون برترها🔵
مجموعه ، الگو و دنباله
مجموعه های N,W,Z,Q,R مجوعه های اصلی هستند.
نکته : مجموعه اعداد گویا و اعداد گنگ را مجموعه اعداد حقیقی می نامند و با Rنشان میدهند.
نمودار ون :

قوانین و حالت های مختلف بازه ها در ریاضیات :

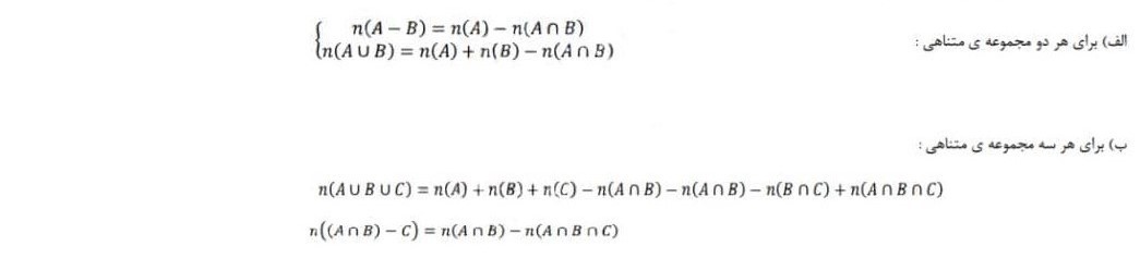
اجتماع دو مجموعه : اجتماع دو مجموعه A و Bرا با AՍB نشان می دهند.
اشتراک دو مجموعه : اشتراک دو مجموعه A و B را با AՈB نشان می دهند.
تفاضل دو مجموعه : تفاضل دو مجموعه A و B را با B-A نشان می دهند.

تعریف مجموعه متناهی : مجموعه ای که تعداد اعضای آن، برابر یک عدد حسابی باشد، مجموعه متناهی می نامیم و مجموعه ای که متناهی نباشد، نامتناهی است.
عدد اصلی یک مجموعه : تعداد اعضای یک مجموعه متناهی مانند A را عدد اصلی و با n(A) نشان میدهند.

تعریف مجموعه مرجع : در هر مبحث، مجموعه ای که همه مجموعه های مورد بحث زیر مجموعه آن باشد، مجموعه مرجع می نامند و با U نشان می دهند.

نکته : اگر مجموعه ی مرجع متناهی باشد ، تمام مجموعه ها متمم آنها نیز متناهی هستند، اما وقتی مجموعه نا متناهی باشد، نظر قطعی نمیتوان داد.
قضایای بین مجموعه ها :

تعریف دو مجموعه مجزا ( جدا از هم ) : دو مجموعه نا تهی را که اشتراک آنها مجموعه تهی است، دو مجموعه مجزا یا جدا از هم می نامند.

دنباله و الگو

تعریف رابطه بازگشتی : اگر در یک دنباله مشاهده کنیم که بین هر جمله و یا جملات قبل از آن رابطه ای برقرار است، رابطه حاصله را رابطه بازگشتی می نامیم. باید در نظر داشته باشیم که در رابطه های بازگشتی باید جمله اول یا گاهی 2 جمله اول باید مشخص باشد.
دنباله حسابی و قدر نسبت حسابی
واسطه حسابی و نکات جانبی



نکات قابل توجه در دنباله حسابی


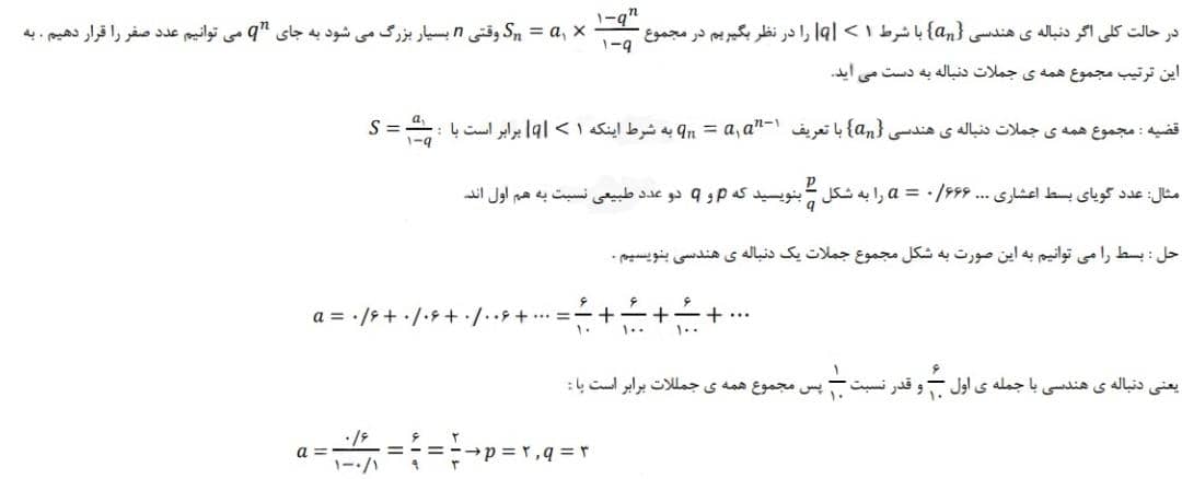
دنباله هندسی و نکات جانبی آن


واسطه هندسی

نکات قابل توجه در دنباله هندسی




فرمول حد مجموع(برای دنباله هندسی)

تست های منتخب ( همراه با سطح بندی سوالات )

متوسط


متوسط


متوسط


متوسط


متوسط

🔵سوال چالشی🔵
(دوستان عزیز جواب خودتون رو در بخش کامنتها زیر همین پست اعلام بفرمایید)
!تذکر! حتما با صفحه شخصی خودتون جواب صحیح را کامنت کنید.
!تذکر! حداقل تعداد کامنت جواب درست برای قرعه کشی 15 عدد است، پس به دوستان خودتون هم این مطلب رو معرفی کنید تا شانس خودشون رو امتحان کنند.
به یک دانش آموز به قید قرعه که با صفحه شخصی خودش جواب درست رو کامنت کند، *30 دقیقه مشاوره رایگان از بنده* تعلق میگیرد.
جواب درست رو کامنت کنید، شاید شما برنده باشید :))
سخت

پاسخ تست شماره 6 ( چالشی و نکته دار) و همینطور نام برنده قرعه کشی در هر مطلب رو میتونید در مطلب بعدی همون درس مربوط به ازمون بعد از من مشاهده بفرمایید.
به طور مثال : نام دانش آموز برنده و پاسخ تست چالشی این مطلب رو میتوانید در مطلب بعدی ریاضی دهم مربوط به ازمون 14 مرداد از بنده مشاهده بفرمایید.
برنده از بین کامنت های زیر همین مطلب قرعه کشی میشود و پاسخ اون کامنت رو بنده با * تبریک و پرسش شماره تلفن برای تماس مشاوره *خواهم داد.
هیچ اعلانی برای پاسخ کامنت برای کاربران سایت دریافت نمیشود، پس نیازه که حتما به مطلب مدام سر بزنید تا اگر شما برنده شدید، پاسخ کامنت را ببینید و آن از دست ندهید.
از توجه شما ممنونم. موفق باشید.

