سلام و درود خدمت همه دهمی های ریاضی و تجربی عزیز 🖐
امیدوارم همیشه پر انرژی و سرحال باشید :))
در این مطلب درسنامه و تست فصل 4 ریاضی دهم ، معادله و نامعادله رو بررسی خواهیم کرد.
فایل کامل این درسنامه به همراه پاسخ تشریحی تست ها به همراه فیل صوتی توضیح اجمالی این مطلب که توصیه میکنم حتما بهش گوش بدید، در انتهای مطلب ضمیمه شده است.
| رتبه 150 منطقه 2 کنکور 99 دانشجوی مکانیک دانشگاه صنعتی شریف |
🔴ویژگیهای مطلب🔴
درسنامه فصل4 ریاضی دهم - معادله و نامعادله
شامل 5 تست از این درس به همراه یک تست با درجه سختی بیشتر (یک قدم فراتر) - * به همراه جایزه کامنت درست *
فایل PDF درسنامه و تست ها به همراه پاسخنامه تست ها ( از قسمت ضمیمه میتواند دانلود کنید )
ویس مقدمه و توضیح اجمالی درسنامه و تست ها
پاسخنامه روان
صفحه اینستاگرام و کانال تلگرام ما
برای ارتباط بیشتر با رتبه برترها و رزرو پشتیبان ویژه، پیج کانون برترها را دنبال کنید و به کانال فوق العاده تلگرامی کانون برترها ملحق بشید تا از مطالب عالی این کانال جا نمونید.
همچنین می توانید با شماره 0218451 داخلی 3123 تماس بگیرید.
نام برندگان مطالب قبل که پاسخ درست رو کامنت کردند و از کامنت ها برگزیده شدند
این عزیزان در کامنت های همین مطلب ، با صفحه شخصی خودشون، شماره تماس به همراه نام و نام خانوادگی رو به صورت کامل برای من کامنت کنند تا با آنها تماس گرفته شود
علیرضا کاویان پور، یازدهم تجربی - قزوین - میانگین تراز 7090
علی علیجانی کوه بنه، دوازدهم تجربی - لاهیجان
محمدامین محبی، نهم - کنگاور
درسنامه
بخش اول - تعریف معادله درجه دوم و روش های مختلف حل آن

آشنایی با روش های حل معادله درجه دوم

معرفی روش تجزیه برای حل معادله درجه دوم

ویژگی مهمی که میتوان از آن برای حل معادلات استفاده کرد و بی شک اکثر شما با اون آشنا هستید : ویژگی حاصلضرب صفر!

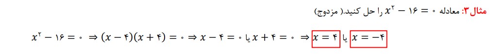
مثال های 1 و 2 و 3 سه روش تجزیه کردن را بیان میکند : فاکتور گیری - اتحاد جمله مشترک - اتحاد مزدوج



معرفی روش ریشه گیری برای حل معادله درجه دوم :

مثال های 4 و 5 و 6 : حل معادله درجه دوم به روش ریشه گیری



معرفی روش مربع کامل برای حل معادله درجه دوم

چگونه یک معادله را مربع کامل کنیم ؟ - بر اساس مراحل زیر :

معرفی روش کلی حل معادله درجه دوم (برخلاف روش های قبلی بدون محدودیت و کارآمد برای هر معادله ای)
مراحل زیر را به صورت دقیق روی کاغذ انجام داده تا با روند این روش به صورت عمقی آشنا شوید و تسلط کامل پیدا کنید .



اگر بخواهید به صورت خلاصه روش کلی را ببینید

مثال 7 و 8 و 9 : حل معادلات درجه دوم به روش کلی



نکته بسیار کاربردی برای حل معادله درجه دوم

مثال 10 و 11 : استفاده از روش میانبر(سریع) برای حل معادله درجه دوم


تعریف سهمی و راس یک سهمی

معرفی خط تقارن سهمی
دو حالت ممکن برای دهانه سهمی (روبه بالا - روبه پایین)
روبه بالا یا پایین بودن دهانه سهمی براساس علامت ضریب مجذور ایکس (a) مشخص میشود.

چگونه یک سهمی رسم کنیم؟ - به روش های زیر :
1 - روش مربع کامل


نکته مهم درباره روش مربع کامل در رسم یک سهمی به همراه مثال 12

2 - علامت ضریب مجذور ایکس (a)


مثال 13 : تعیین جهت دهانه سهمی، مختصات راس سهمی و رسم سهمی با استفاده از دو نقطه کمکی

نکته های کاربردی و میانبر درباره سهمی
به همراه مثال 14 : استفاده از نکته کاربردی بیان شده

مثال 15 : استفاده از قانون صدق کردن مختصات یک نقطه روی سهمی در ضابطه آن برای یافتن مجهولات در ضابطه سهمی


حالات مختلف شکل سهمی به همراه تعداد ریشه های آن و جهت دهانه آن در یک نگاه

مثال 16 : یافتن متغیر مجهول در ضابطه سهمی به کمک فرض مسئله درباره تعداد برخورد سهمی با محور طول ها و جهت دهانه آن

معرفی مفهوم مینیمم و ماکسیمم در سهمی


مثال 17 : استفاده از مفهوم ماکسیمم

چگونه از مفهوم مینیمم و ماکسیمم در مسائل کاربردی و واقعی استفاده کنیم ؟

مثال 18 : استفاده از مفهوم ماکسیمم برای حل مسائل کاربردی

معرفی مفهوم تعیین علامت - پایه ای ترین مفهوم در ریاضیات

پرسش و پاسخ هایی که مفهوم تعیین علامت را به صورت واضح توضیح میدهد

در کل، استفاده ما از تعیین علامت در سهمی ها به صورت زیر خلاصه میشود :

چگونه یک چند جمله ای درجه اول را تعیین علامت کنیم؟

جدول کامل تعیین علامت یک عبارت درجه اول

مثال 19 : تعیین علامت عبارت درجه اول

نکات جانبی و قابل توجه در تعیین علامت

مثال 20 : تعیین علامت عبارت درجه دوم - ضرب دو عبارت درجه اول


مثال 21 : تعیین علامت یک عبارت گویا به صورت تقسیم دو عبارت بر حسب ضرب دو چند جمله ای تواندار بر عباراتی شامل قدر مطلق ( ترکیبی ترین حالت تعیین علامت عبارت گویا)

چگونه یک عبارت درجه دوم را تعیین علامت کنیم؟

جدول تعیین علامت یک عبارت درجه دوم زمانی که سهمی در دو نقطه محور طول ها را قطع میکند


جدول تعیین علامت یک عبارت درجه دوم زمانی که سهمی در یک نقطه محور طول ها را قطع میکند (مماس بر محور طول ها)

جدول تعیین علامت یک عبارت درجه دوم زمانی که سهمی محور طول هارا قطع نمیکند( ریشه حقیقی ندارد)

مثال 22 : تعیین علامت یک عبارت درجه دوم

مثال 23 : تعیین علامت یک عبارت گویا به صورت تقسیم عباراتی از درجه دوم

تعریف مفهوم نامعادله
چند حالت نامعادله :
1 - نامعادله یک مجهولی درجه اول
2 - نامعادله دوگانه
3 - نامعادلات یک مجهولی درجه دوم
4 - نامعادله هایی شامل عبارات گویا
5 - نامعادله قدرمطلقی
تعریف نامعادله یک مجهولی درجه اول




هدف نهایی یک معادله یک مجهولی درجه اول

مثال 24 : حل نامعادله یک مجهولی درجه اول

تعریف نامعادله دوگانه

ترفند های کاربردی در حل نامعادلات

تعریف نامعادلات یک مجهولی درجه دوم

مثال 25 : حل نامعادله یک مجهولی درجه دوم



مثال 26 : حل نامعادله به صورت هندسی

مثال 27 : تعیین علامت یک عبارت درجه دوم ( یا حل یک نامعادله درجه دوم )

تعریف نامعادله هایی شامل عبارت های گویا

مثال 28 : حل یک نامعادله شامل عبارات گویا

تعریف نامعادله های قدر مطلقی
مثال 29 : حل یک نامعادله قدرمطلقی

مثال 30 : حل نامعادله قدرمطلقی

جمع بندی نا معادله های قدر مطلقی به صورت یکجا

مثال 31 و 32 : حل نامعادله های قدر مطلقی


تست ها










🔵سوال چالشی🔵
(دوستان عزیز جواب خودتون رو در بخش کامنتها زیر همین پست اعلام بفرمایید)
!تذکر! حتما با صفحه شخصی خودتون جواب صحیح را کامنت کنید.
!تذکر! حداقل تعداد کامنت جواب درست برای قرعه کشی 15 عدد است، پس به دوستان خودتون هم این مطلب رو معرفی کنید تا شانس خودشون رو امتحان کنند.
به یک دانش آموز به قید قرعه که با صفحه شخصی خودش جواب درست رو کامنت کند، *30 دقیقه مشاوره رایگان از بنده* تعلق میگیرد.
جواب درست رو کامنت کنید، شاید شما برنده باشید :))

پاسخ تست شماره 6 ( چالشی و نکته دار) و همینطور نام برنده قرعه کشی در هر مطلب رو میتونید در مطلب بعدی همون درس از من برای ازمون بعد مشاهده بفرمایید.
به طور مثال : نام دانش آموز برنده و پاسخ تست چالشی این مطلب رو میتوانید در مطلب بعدی ریاضی دهم مربوط به درسنامه های ازمون 11 شهریور از بنده مشاهده بفرمایید.
برنده از بین کامنت های زیر همین مطلب قرعه کشی میشود و پاسخ اون کامنت رو بنده با * تبریک و پرسش شماره تلفن برای تماس مشاوره *خواهم داد.
هیچ اعلانی برای پاسخ کامنت برای کاربران سایت دریافت نمیشود، پس نیازه که حتما به مطلب مدام سر بزنید تا اگر شما برنده شدید، پاسخ کامنت را ببینید و آن از دست ندهید.
نام برندگان مطالب قبل که پاسخ درست رو کامنت کردند و از کامنت ها برگزیده شدند
این عزیزان در کامنت های همین مطلب ، با صفحه شخصی خودشون، شماره تماس به همراه نام و نام خانوادگی رو به صورت کامل برای من کامنت کنند تا با آنها تماس گرفته شود
علیرضا کاویان پور، یازدهم تجربی - قزوین - میانگین تراز 7090
علی علیجانی کوه بنه، دوازدهم تجربی - لاهیجان
محمدامین محبی، نهم - کنگاور
*پاسخ تست چالشی شماره 6 مطلب توان های گویا و عبارت های جبری (1) مربوط به آزمون 14 مرداد ماه*

*پاسخ تست چالشی شماره 6 مطلب توان های گویا و عبارت های جبری (2) مربوط به آزمون 14 مرداد ماه*

مطالب قبلی را میتوانید از طریق لینک های زیر دسترسی داشته باشید:
مجموعه، الگو و دنباله - ریاضی دهم -درسنامه وتست-محمد کربلایی
مثلثات - ریاضی دهم - درسنامه و تست - محمد مهدی کربلایی
توانهای گویا و عبارتهای جبری(1) -درسنامه و تست -محمد کربلایی
توانهای گویا و عبارتهای جبری(2) -درسنامه و تست -محمد کربلایی
از توجه شما ممنونم. موفق باشید.



