سلام و درود خدمت همه دهمی های ریاضی و تجربی عزیز 🖐
امیدوارم همیشه پر انرژی و سرحال باشید :))
در این مطلب درسنامه و تست فصل 3 ریاضی دهم ، توان های گویا و عبارت های جبری (دو درس آخر) رو بررسی خواهیم کرد.
فایل کامل این درسنامه به همراه پاسخ تشریحی تست ها به همراه فیل صوتی توضیح اجمالی این مطلب که توصیه میکنم حتما بهش گوش بدید، در انتهای مطلب ضمیمه شده است.
| رتبه 150 منطقه 2 کنکور 99 دانشجوی مکانیک دانشگاه صنعتی شریف |
🔴ویژگیهای مطلب🔴
درسنامه فصل3 ریاضی دهم - توان های گویا و عبارت های جبری (دو درس آخر)
شامل 5 تست از این درس به همراه یک تست با درجه سختی بیشتر (یک قدم فراتر) - * به همراه جایزه کامنت درست *
فایل PDF درسنامه و تست ها به همراه پاسخنامه تست ها ( از قسمت ضمیمه میتواند دانلود کنید )
ویس مقدمه و توضیح اجمالی درسنامه و تست ها
پاسخنامه روان
صفحه اینستاگرام و کانال تلگرام ما
برای ارتباط بیشتر با رتبه برترها و رزرو پشتیبان ویژه، پیج کانون برترها را دنبال کنید و به کانال فوق العاده تلگرامی کانون برترها ملحق بشید تا از مطالب عالی این کانال جا نمونید.
همچنین می توانید با شماره 0218451 داخلی 3123 تماس بگیرید.
درسنامه
درس سوم - اتحاد های جبری ( مبحث مهم این فصل )
آشنایی کلی با اتحاد های جبری

اتحاد های مربع دو جمله ای

مثال 1 : (اتحاد های مربع دو جمله ای)

اثبات اتحاد های مربع دو جمله ای

اتحاد مزدوج ( اتحادی که از سال گذشته کمی با آن آشنایی دارید)

مثال 2 : ( اتحاد مزدوج )

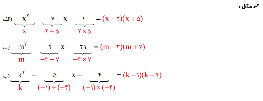
اتحاد جمله مشترک - فرمول آن را با تکرار آن حین نوشتن به ذهن بسپارید - مثال 3 ( اتحاد جمله مشترک )

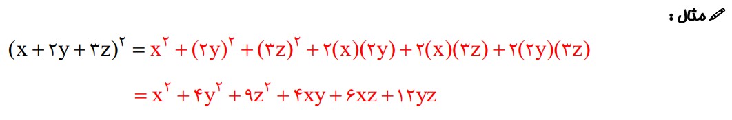
اتحاد مربع سه جمله ای - فرمول مشابهی با مربع دو جمله ای دارد، با این تفاوت که تعداد جملات این اتحاد بیشتر است!

مثال 3 : (اتحاد مربع سه جمله ای)

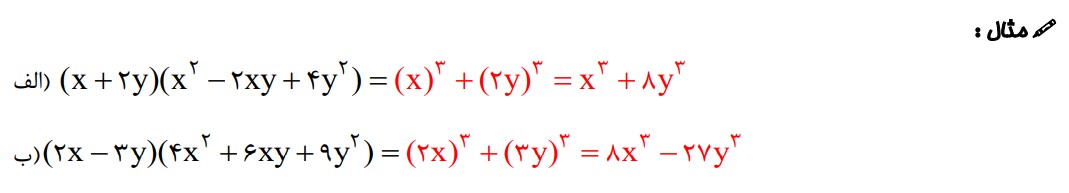
اتحاد های چاق و لاغر ( جزو معروف ترین اتحاد ها که باید به ذهن بسپارید)

مثال 4 : (اتحاد چاق و لاغر)

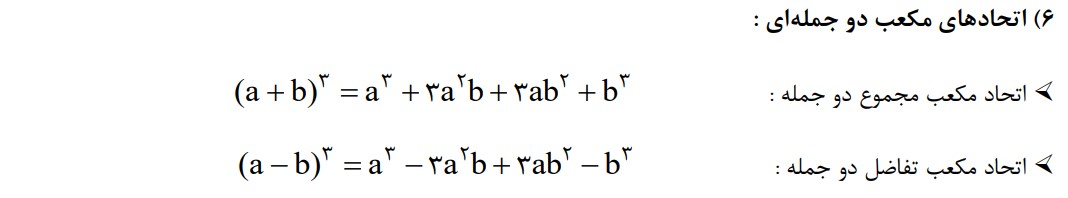
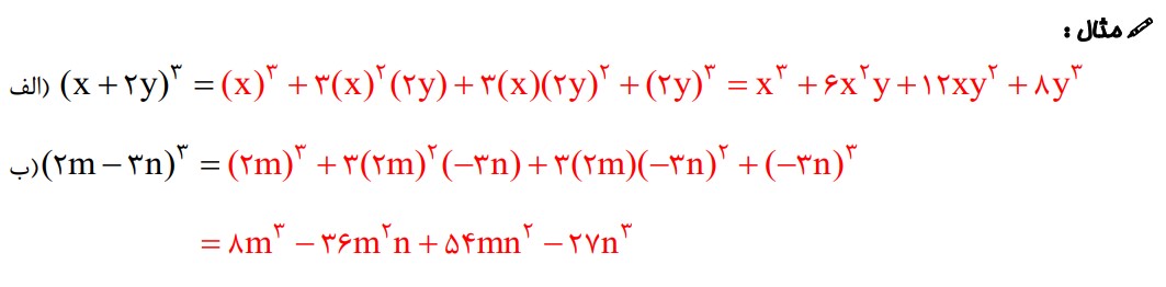
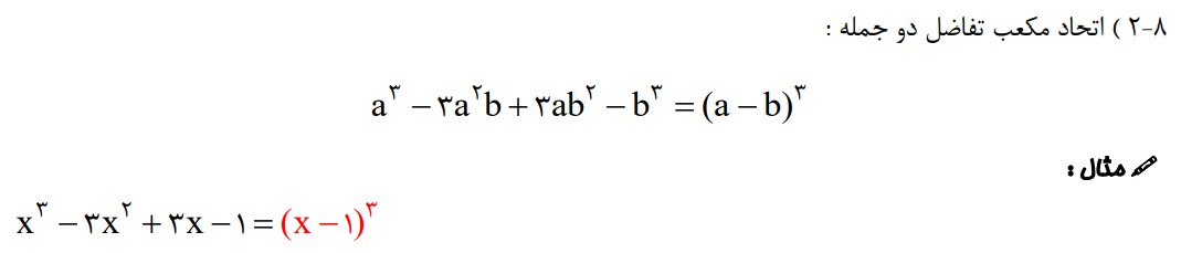
اتحاد مکعب دو جمله ای - شاید برایتان آشنا باشد!

مثال 5 : (اتحاد مکعب دو جمله ای)

دیگر اتحاد های فرعی که از اتحاد های اصلی بدست آمده اند

تجزیه عبارت های جبری چیست؟!

شروط تجزیه کردن عبرات های جبری به همراه



حال که یادگرفتیم تجزیه چیست، روش های تجزیه کردن به صورت زیر است :( فاکتور گیری (شامل اتحاد مزدوج) - تجزیه به کمک اتحاد ها)



مثال 6 : ( تجزیه کردن )

فرمول زیر را برای اتحاد جمله مشترک به خوبی به ذهن بسپارید - ( S به معنای جمع (Sum) و P به معنای ضرب (Product))

شروط استفاده از اتحاد جمله مشترک برای تجزیه عبارت های جبری

مثال 6 : (تجزیه با روش جمله مشترک)

اتحاد های مربع مجموع و تفاضل دو جمله

شروط استفاده از اتحاد های مربع دو جمله ای:

مثال 7 : (اتحاد مربع دو جمله ای)


اتحاد چاق و لاغر با علامت مثبت و شروط استفاده از آن برای تجزیه


چاق و لاغر با علامت منفی و شروط استفاده از آن برای تجزیه

مثال 8 : چاق و لاغر با علامت منفی

دو روش برای تجزیه عبارت معروف زیر :


اتحاد مکعب دو جمله ای ( مجموع و تفاضل ) به همراه مثال های 9 و 10


نکات مهم حین تجزیه عبارت های جبری

مثال 11 : ( استفاده از شرایط تجزیه عبارت های جبری )


مثال 12 : ( روش دسته بندی برای تجزیه )

مثال 13 : ( روش تفکیک برای تجزیه)

مثال 14 : ( استفاده از چند اتحاد برای تجزیه)

مثال 15 : ( روش اضافه و کم کردن یک جمله به عبارت برای تجزیه راحتتر آن)

مثال 16 : مثالی جامع شامل روشی جدید برای تجزیه عبارت جبری


نکته ای که حکم یادآوری یک مفهوم ساده در عین حال کاربردی برای استفاده در اتحاد ها دارد :

ب.م.م و ک.م.م عبارت های جبری را چگونه بدست آوریم؟

درس 4 - عبارت های گویا
عبارت گویا چیست؟ - مثال 17

دامنه عبارت های گویا را چگونه بیابیم ؟ - مثال 18

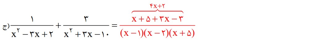
ساده کردن عبارت های گویا، جذابترین کار در این فصل :) - مثال 19


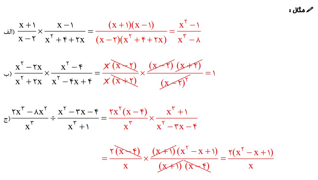
عبارت های گویا قابلیت ضرب و تقسیم دارند

مثال 20 : ( ساده سازی با ضرب و تقسیم عبارت های گویا )

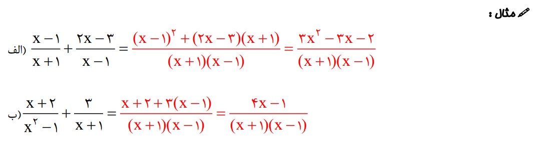
عبارت های گویا همانطور که قابلیت ضرب و تقسیم دارند، جمع و تفریق هم جزء خواص آنهاست

مثال 21 : ( جمع و تفریق در عبارت های گویا )


گویا کردن مخرج کسرهای رادیکالی جزء مهمترین مباحث این فصل و دارای پتانسیل طرح سوال در امتحانات و جزءیی از راه حل تست های ریاضیات امسال و سال های بعد محسوب میشود

مثال 22 و 23 و 24 : گویا کردن با شرایط مختلف رادیکالی




تست ها









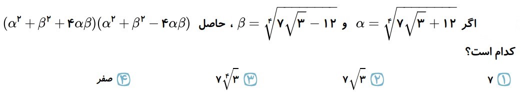
🔵سوال چالشی🔵
(دوستان عزیز جواب خودتون رو در بخش کامنتها زیر همین پست اعلام بفرمایید)
!تذکر! حتما با صفحه شخصی خودتون جواب صحیح را کامنت کنید.
!تذکر! حداقل تعداد کامنت جواب درست برای قرعه کشی 15 عدد است، پس به دوستان خودتون هم این مطلب رو معرفی کنید تا شانس خودشون رو امتحان کنند.
به یک دانش آموز به قید قرعه که با صفحه شخصی خودش جواب درست رو کامنت کند، *30 دقیقه مشاوره رایگان از بنده* تعلق میگیرد.
جواب درست رو کامنت کنید، شاید شما برنده باشید :))

پاسخ تست شماره 6 ( چالشی و نکته دار) و همینطور نام برنده قرعه کشی در هر مطلب رو میتونید در مطلب بعدی همون درس از من برای ازمون بعد مشاهده بفرمایید.
به طور مثال : نام دانش آموز برنده و پاسخ تست چالشی این مطلب رو میتوانید در مطلب بعدی حسابان مربوط به درسنامه های ازمون 28 مرداد از بنده مشاهده بفرمایید.
برنده از بین کامنت های زیر همین مطلب قرعه کشی میشود و پاسخ اون کامنت رو بنده با * تبریک و پرسش شماره تلفن برای تماس مشاوره *خواهم داد.
هیچ اعلانی برای پاسخ کامنت برای کاربران سایت دریافت نمیشود، پس نیازه که حتما به مطلب مدام سر بزنید تا اگر شما برنده شدید، پاسخ کامنت را ببینید و آن از دست ندهید.
*پاسخ تست شماره 6 مطلب مثلثات مربوط به آزمون 31 تیرماه*



از توجه شما ممنونم. موفق باشید.



