سلام و درود خدمت همه یازدهمی های ریاضی عزیز 🖐
در این مطلب مباحث درس حسابان 1 آزمون 4 آذر (فصل 1، جبر و معادله،قدر مطلق و ویژگی های آن، آشنایی با هندسه تحلیلی، صفحه های 23 تا 36) را با آزمونکی شامل 5 تست خوب و مفید جمع بندی و مرور خواهیم کرد.
فایل پاسخنامه این تست ها را میتوانید در انتهای مطلب دانلود بفرمایید.
| محمد مهدی کربلایی رجب رتبه 150 منطقه 2 کنکور 99 دانشجوی مکانیک دانشگاه صنعتی شریف |
🔴ویژگیهای مطلب🔴
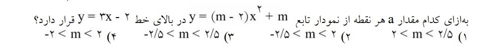
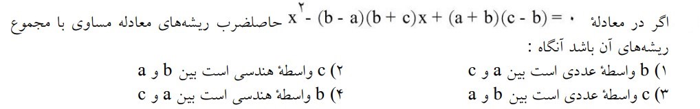
آزمونک مرور فصل 1 حسابان یازدهم - جبر و معادله
شامل 5 تست برای مرور و جمع بندی مباحث
فایل PDF تست ها به همراه پاسخنامه تست ها ( از قسمت ضمیمه میتواند دانلود کنید )
ویس مقدمه و توضیح اجمالی تست ها
پاسخنامه روان










جهت مرور و تسلط روی مطالب این فصل میتوانید به جزوات بنده روی سایت کانون مراجعه بفرمایید. با استفاده از لینک های زیر دسترسی سریع به آنها میتوانید داشته باشید :
جبر و معادله(دروس1 و 2) -حسابان1 - درسنامه و تست- محمد کربلایی
جبر و معادله(دروس2 و 3)- حسابان1 - درسنامه و تست -محمد کربلایی
جبر و معادله(درس4و 5) - حسابان 1 - درسنامه و تست -محمد کربلایی
صفحه اینستاگرام و کانال تلگرام ما
برای ارتباط بیشتر با رتبه برترها و رزرو پشتیبان ویژه، پیج کانون برترها را دنبال کنید و به کانال فوق العاده تلگرامی کانون برترها ملحق بشید تا از مطالب عالی این کانال جا نمونید.
همچنین می توانید با شماره 0218451 داخلی 3123 تماس بگیرید.



