سلام و درود خدمت همه یازدهمی های ریاضی عزیز 🖐
امیدوارم همیشه پر انرژی و سرحال باشید :))
در این مطلب درسنامه و تست فصل 1 حسابان 1، جبر و معادله ( درس 5 ) رو بررسی خواهیم کرد.
فایل کامل این درسنامه به همراه پاسخ تشریحی تست ها به همراه فایل صوتی توضیح اجمالی این مطلب که توصیه میکنم حتما بهش گوش بدید، در انتهای مطلب ضمیمه شده است.
| رتبه 150 منطقه 2 کنکور 99 دانشجوی مکانیک دانشگاه صنعتی شریف |
🔴ویژگیهای مطلب🔴
درسنامه فصل 1 حسابان 1 - جبر و معادله ( درس 5)
شامل 5 تست از این درس به همراه یک تست با درجه سختی بیشتر (یک قدم فراتر) - * به همراه جایزه کامنت درست *
فایل PDF درسنامه و تست ها به همراه پاسخنامه تست ها ( از قسمت ضمیمه میتواند دانلود کنید )
ویس مقدمه و توضیح اجمالی درسنامه و تست ها
پاسخنامه روان
صفحه اینستاگرام و کانال تلگرام ما
برای ارتباط بیشتر با رتبه برترها و رزرو پشتیبان ویژه، پیج کانون برترها را دنبال کنید و به کانال فوق العاده تلگرامی کانون برترها ملحق بشید تا از مطالب عالی این کانال جا نمونید.
درسنامه
مفهوم قدر مطلق و خواص آن در مباحث گوناگون رياضي، از جمله توابع و نمودارها، حل معادلات و نامعادلات بسيار بکار ميروند. اين مفهوم را در ادامه به صورت دقيق معرفي ميکنيم:

مثال 1 : ( مفهوم قدر مطلق )

ویژگی های قدر مطلق


مثال 2 : ( استفاده از خواص قدرمطلق)

دو خاصیت نامساوی قدر مطلقی در حل معادلات کاربرد دارند :


حل معادلات

از بین بردن قدر مطلق با تعیین محدوده x

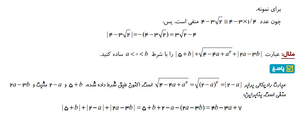
مثال 3 :( حل معادلات شامل قدر مطلقی )

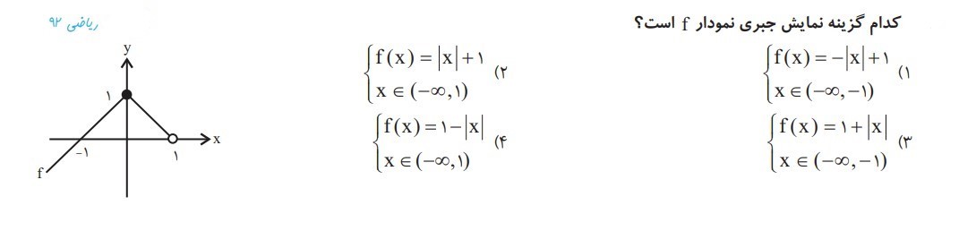
رسم نمودارهای قدر مطلقی در مباحث گوناگون کاربرد های زیادی دارد :

رسم توابع معروف و کنکوری "گلدان" و "آبشار" :


مثال 4 : ( رسم نمودار گلدانی )

مثال 5 : ( رسم نمودار آبشاری )
چند مثال دیگر از حل معادلات قدر مطلقی را ببینید :
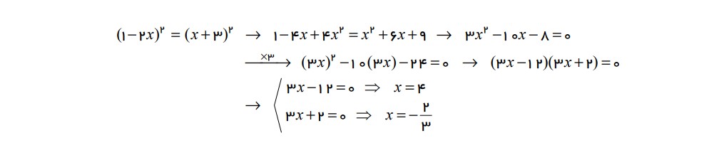
مثال 6 : (حل معادلات قدرمطلقی به دو روش ) 

مثال 7 : ( حل معادلات قدرمطلقی به دو روش )

فاصله دو نقطه در دستگاه مختصات

مثال 8 : ( مثال کاربردی استفاده از فرمول تعیین فاصله دو نقطه )

تعیین مختصات نقطه وسط یک پاره خط :

مثال 9 : ( مثال پیدا کردن نقطه وسط یک پاره خط )

مثال 10 : (حل مثال با استفاده از فرمول نقطه وسط پاره خط)


مثال 11 : (حل مثال با استفاده از فرمول نقطه وسط پاره خط)

روش تعیین شیب خط :

موارد ویژه در تعیین شیب خط :

مثال 12 :


مثال 13 :

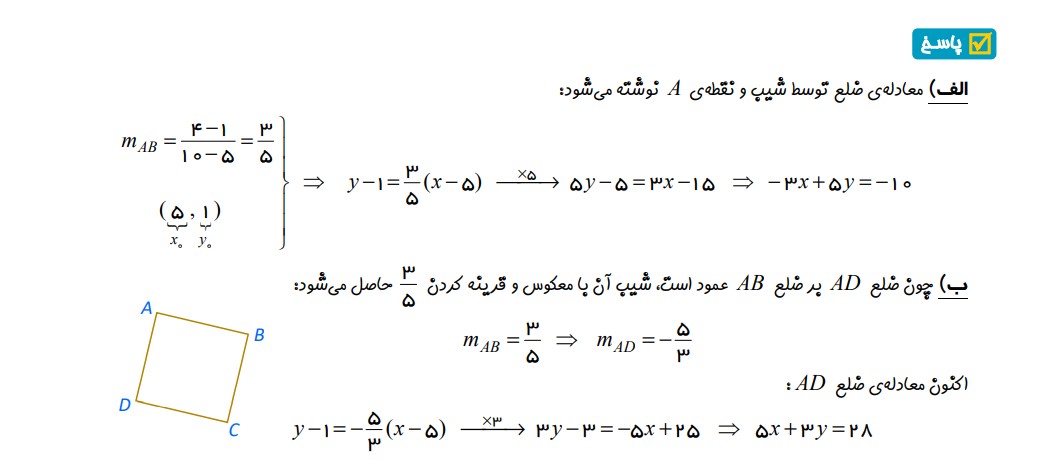
روش نوشتن معادله :

مثال 14 : (نوشتن معادله خط)

مثال 15 : (نوشتن معادله خط)

تعریف دو خط عمود برهم :

مثال 16 :(دو خط عمود برهم)

مثال 17 :(تعیین شیب خط و نوشتن معادله خط و دو خط عمود بر هم به صورت ترکیبی)


روش مقایسه دو خط از طریق معادله آنها ( تعیین سه حالت برای خطوط : توازی - تعامد و تطابق )

مثال 18 :(دستگاه معادلات)

تعریف فاصله نقطه تا خط


مثال 19 : (فاصله نقطه تا خط)

مثال 20 :(فاصله نقطه تا خط و تعیین مساحت مربع با استفاده از قطر آن به صورت ترکیبی)


مثال 21 : ( استفاده از دو خط عمود برهم و روش فاصله نقطه تا خط ب صورت ترکیبی)

تعریف روش فاصله دو خط موازی :

مثال 22 : ( تعیین فاصله دو خط موازی از هم و استفاده ترکیبی از این فاصله)


تست ها

آسان


متوسط


متوسط


متوسط


متوسط

🔵سوال چالشی🔵
(دوستان عزیز جواب خودتون رو در بخش کامنتها زیر همین پست اعلام بفرمایید)
!تذکر! حتما با صفحه شخصی خودتون جواب صحیح را کامنت کنید.
!تذکر! حداقل تعداد کامنت جواب درست برای قرعه کشی 15 عدد است، پس به دوستان خودتون هم این مطلب رو معرفی کنید تا شانس خودشون رو امتحان کنند.
به یک دانش آموز به قید قرعه که با صفحه شخصی خودش جواب درست رو کامنت کند، *30 دقیقه مشاوره رایگان از بنده* تعلق میگیرد.
جواب درست رو کامنت کنید، شاید شما برنده باشید :))
سخت

پاسخ تست شماره 6 ( چالشی و نکته دار) و همینطور نام برنده قرعه کشی در هر مطلب رو میتونید در مطلب بعدی همون درس از من برای ازمون بعد مشاهده بفرمایید.
به طور مثال : نام دانش آموز برنده و پاسخ تست چالشی این مطلب رو میتوانید در مطلب بعدی حسابان مربوط به درسنامه های ازمون 14 مرداد از بنده مشاهده بفرمایید.
برنده از بین کامنت های زیر همین مطلب قرعه کشی میشود و پاسخ اون کامنت رو بنده با * تبریک و پرسش شماره تلفن برای تماس مشاوره *خواهم داد.
هیچ اعلانی برای پاسخ کامنت برای کاربران سایت دریافت نمیشود، پس نیازه که حتما به مطلب مدام سر بزنید تا اگر شما برنده شدید، پاسخ کامنت را ببینید و آن از دست ندهید.
از توجه شما ممنونم. موفق باشید.



