سلام به همه کنکوریهای عزیز 🖐🖐
در این مطلب قصد داریم یک دام از کتاب ریاضی دهم و حسابان یازدهم را برای آزمون 8مهر پیشبینی کنیم ، با بررسی این دام های احتمالی ، هم مبحث را بهتر یاد می گیریم و هم در صورت مواجه شدن با آن ها در آزمون اشتباه نمی کنیم .
| رتبه 150 منطقه 2 کنکور 99 دانشجوی مکانیک دانشگاه صنعتی شریف |
صفحه اینستاگرام و کانال تلگرام ما
برای ارتباط بیشتر با رتبه برترها و رزرو پشتیبان ویژه، پیج کانون برترها را دنبال کنید و به کانال فوق العاده تلگرامی کانون برترها ملحق بشید تا از مطالب عالی این کانال جا نمونید.
ریاضی دهم
❓ کدام یک از عبارت های زیر همواره درست است ؟ ( a و b اعدادی حقیقی هستند)
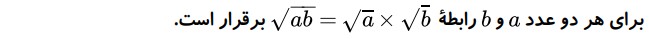
الف)

ب)

ج)

د)

✅ پاسخ صحیح : گزینه ج
⛔ گزینه دام : گزینه د
✅ پاسخ تشریحی :
⚠ نکته : قوانین توان های گویا و عبارت های جبری از محتمل ترین دام های تستی برای دانش آموزان است که تنها با دقت در چند مورد، میتوانید این دام ها را شناسایی کنید.
بررسی گزینه الف :
دوستان دقت کنید که این رابطه زمانی برقرار است که a و b هردو عددی مثبت باشند. چون درباره علامت این دو عدد اطلاعاتی نداده پس نمیتواند همواره درست باشد.
بررسی گزینه ب :
دوستان دقت کنید که رادیکال برای نمایش ریشه های دوم اعداد نامنفی است و این گزینه هم به دلیل اینکه اطلاعاتی از علامت عدد m در اختیار نداریم، نمیتواند همواره درست باشد.
بررسی گزینه ج :
این گزینه کاملا درست بوده و تمامی شرایط تعریف را دارا میباشد، که این شرایط، طبیعی و بزرگتر بودن عدد n است که گزینه ذکر کرده است. بعلاوه، خود تساوی داده شده هم کاملا درست و جزء تعریف های مهم این درس است.
بررسی گزینه د :
⛔ دام : این گزینه دام این تست محسوب میشود که به ظاهر ، تساوی درستی را بیان میکند و شرایطی را هم داخل پرانتز بیان کرده اما ناقص است. شرطی که ذکر نشده آن است که اگر عدد k زوج باشد، عدد a باید مثبت باشد.
برای پیدا کردن تسلط روی این بخش توصیه میکنم جزوه کامل و جامع بنده را حتما مطالعه بفرمایید که با لینک زیر میتوانید به آنها دسترسی داشته باشید :
توانهای گویا و عبارتهای جبری(1) -درسنامه و تست -محمد کربلایی
توانهای گویا و عبارتهای جبری(2) -درسنامه و تست -محمد کربلایی
حسابان 1
❓ نمودار وارون تابع زیر از کدام ناحیه دستگاه مختصات نمی گذرد؟

1) اول
2) دوم
3) سوم
4) چهارم
✅ پاسخ صحیح : گزینه 4
⛔ گزینه دام : گزینه 2
✅ پاسخ تشریحی :
⚠ نکته : باید به صورت سوال دقت کنیم و زیر افعال مهم و خواسته سوال خط بکشیم. خواسته سوال ناحیه ای است که وارون تابع ( نه خوود تابع!) از آن عبور نکند.
ابتدا خود تابع را رسم میکنیم :


نمودار تابع f به صورت بالاست. نمودار تابع f از ناحیه دوم دستگاه مختصات نمیگذرد. از آنجا که نمودار تابع f و نمودار وارون آن نسبت به نیم ساز ربع اول و سوم دستگاه مختصات قرینه هستند، پس نمودار وارون تابع f از ناحیه چهارم دستگاه مختصات نخواهد گذشت.
⛔ دام : دام این سوال گزینه دو ( ناحیه دوم ) است . بسیاری از دانش آموزان به این مورد دقت نمیکنند که باید وارون تابع ( نه خود تابع ) را به صورت اجمالی رسم کنند و سپس ناحیه ای را انتخاب کنند که وارون تابع از آن نمیگذرد.
برای پیدا کردن تسلط روی این بخش توصیه میکنم جزوه کامل و جامع بنده را حتما مطالعه بفرمایید که با لینک زیر میتوانید به آن دسترسی داشته باشید :
توابع نمایی و لگاریتمی - حسابان 1 - درسنامه و تست-محمد کربلایی
اگر از این مباحث دامی به نظرتان آمد ، در کامنت ها به اشتراک بگذارید.
نویسنده : محمد مهدی کربلایی / دانشجوی مکانیک صنعتی شریف
سپاس از توجه شما 🌹



