سلام به همه بچه های دهم تجربی.
چطورین؟ واسه آزمون جمعه خوب مطالعه کردین دیگه؟
خب توی این قسمت یه آزمونک 15 تستی براتون آماده کردم که کامل شما رو واسه آزمون جمعه جمع و جور کنه.
امیررضا حکمت نیا- دانشجوی پزشکی دانشگاه علوم پزشکی تهران
هر وقت درسنامه های آزمون رو تموم کردی، حتما این سری از تست ها رو کار کن. از خودت امتحان بگیر تا بهترین نتیجه رو بگیری.
اگه درسنامه رو نداری، کلیک کن تا دانلود کنی!
خب دیگه بریم سراغ تست ها و بررسی شون!!







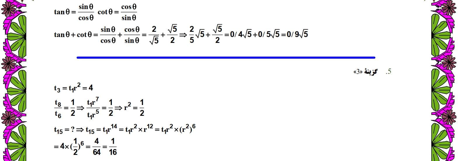
پاسخنامه:













برای دانلود فایل پی دی اف این آزمونک، به بخش ضمیمه در پایین صفحه مراجعه کنید!
دوستدار شما، امیررضا حکمت نیا
