سلام و خداقوت به بچه های دهم تجربی.
امروز قراره درسنامه فصل اول از ابتدای دنباله هندسی تا فصل دوم پایان دایره مثلثاتی رو با هم یاد بگیریم.
امیررضا حکمت نیا- دانشجوی پزشکی دانشگاه تهران
خب بریم که این مبحث مهم و سوال خیز ریاضی رو یاد بگیریم. دنباله هندسی هر ساله تست کنکور داره و از مهم ترین مباحث بین دنباله ها هست.
مثلثات رو هم که نگم براتون!!!!
اگه مثلثات رو همین الان خوب و اصولی یاد نگیری، بعدا خیلی به مشکل میخوری!
پس همین الان بهش دقت کن و درسنامه رو کامل بخون.
در فایل ضمیمه زیر، درسنامه کامل به همراه 15 تست کنکوری و جامع با پاسخنامه تشریحی قرار داده شده است.
درسنامه
دایرة مثلثاتی
¨ دایرۀ مثلثاتی:
دایره ای که شعاع آن واحد و مبدأ حرکت در آن نقطۀ A باشد به طور یکه جهت حرکت
روی دایره در خلاف جهت حرکت عقربه های ساعت باشد دایرۀ مثلثاتی نام دارد.
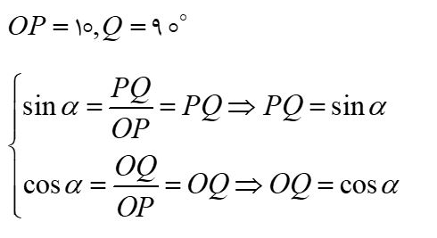
¨ نسبت های مثلثاتی بر روی دایرۀ مثلثاتی :
اگر ابتدا زاویۀ آلفا را روی دایرۀ مثلثاتی مشخص کنیم آنگاه با توجه به مثلث قائم الزاویۀ به دست آمده تعریف می کنیم:
بدست آوردن نسبت های مثلثاتی چند زاویه ی معروف:
مضرب های 30 درجه:
مضرب های 60 درجه:
مضرب های 45 درجه:
رابطه شیب خط با تانژانت زاویه


نتیجه:

برای دانلود کامل این درسنامه به همراه 15 تست کنکوری حل شده، فایل ضمیمه در پایین صفحه را دانلود کنید.
