سلام و درود خدمت همه یازدهمی های ریاضی عزیز 🖐
در این مطلب مباحث درس ریاضی دهم آزمون 22 مهر (فصل 1، مجموعه، الگو و دنباله، صفحه های 1 تا 13) را با آزمونکی شامل 5 تست خوب و مفید جمع بندی و مرور خواهیم کرد.
فایل پاسخنامه این تست ها را میتوانید در انتهای مطلب دانلود بفرمایید.
| رتبه 150 منطقه 2 کنکور 99 دانشجوی مکانیک دانشگاه صنعتی شریف |
🔴ویژگیهای مطلب🔴
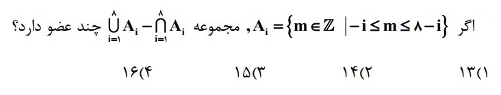
آزمونک مرور فصل 1 ریاضی دهم - مجموعه ، الگو و دنباله
شامل 5 تست برای مرور و جمع بندی مباحث
فایل PDF تست ها به همراه پاسخنامه تست ها ( از قسمت ضمیمه میتواند دانلود کنید )
ویس مقدمه و توضیح اجمالی تست ها
پاسخنامه روان










جهت مرور و تسلط روی مطالب این فصل میتوانید به جزوات بنده روی سایت کانون مراجعه بفرمایید. با استفاده از لینک های زیر دسترسی سریع به آنها میتوانید داشته باشید :
مجموعه، الگو و دنباله - ریاضی دهم -درسنامه وتست-محمد کربلایی
صفحه اینستاگرام و کانال تلگرام ما
برای ارتباط بیشتر با رتبه برترها و رزرو پشتیبان ویژه، پیج کانون برترها را دنبال کنید و به کانال فوق العاده تلگرامی کانون برترها ملحق بشید تا از مطالب عالی این کانال جا نمونید.
همچنین می توانید با شماره 0218451 داخلی 3123 تماس بگیرید.
نویسنده : محمد مهدی کربلایی / دانشجوی مکانیک صنعتی شریف
سپاس از توجه شما 🌹



