سلام دوستان عزیز
در این مطلب می خواهیم به جمع بندی خلاصه نکات و حفظیات مبحث ترکیبات کربن دار شیمی 2 مطابق با بودجه بندی آزمون 2 اردیبهشت که برای پاسخگویی به سوالات آزمون باید به آنها مسلط باشید، بپردازیم.
| دانشجوی مهندسی عمران دانشگاه تهران رتبه 328 منطقه دو - کنکور ریاضی 1398 |
برای ارتباط بیشتر با برترها و رزرو پشتیبان ویژه، پیج کانون برترها را دنبال کنید، همچنین میتونید با شماره ۰۲۱۸۴۵۱ داخلی ۳۱۲۳ تماس بگیرید.
آلکان ها
آلکان ها دسته ای از هیدروکربن ها هستند ک در آن ها هر اتم کربن با چهار پیوند یگانه به اتم های اطراف متصل شده است. فرمول عمومی آنها به صورت CnH2n+2 می باشد و جرم مولی آن ها از رابطه 14n+2 به دست می آید.
آلکان ها به دلیل داشتن پیوند های یگانه، تمایلی به انجام واکنش ندارند و سیر شده هستند و گشتاور دو قطبی آن ها حدود صفر است.
قواعد نام گذاری آلکان های راست زنجیر:
1- زنجیری که بیش ترین تعداد کربن پشت سر هم را دارد به عنوان زنجیر اصلی انتخاب می کنیم.
2- اگر در مورد یک ترکیب، بتوان دو زنجیر اصلی با تعداد کربن برابر انتخاب کرد، زنجیری را به عنوان زنجیر اصلی انتخاب کنید که تعداد شاخه های فرعی آن بیشتر است.
3- زنجیر اصلی را از سمتی نام گذاری میکنیم که زودتر به شاخه فرعی برسیم.
4- اگر فاصله نخستین شاخه های فرعی در دو سر زنجیر اصلی یکسان باشد، شماره گذاری را از طرفی شروع می کنیم که زودتر به دومین شاخه فرعی برسیم.
5- اگر روی شاخه اصلی چند شاخه فرعی مشابه باشد. ابتدا شماره کربن های دارای شاخه، سپس تعداد شاخه های فرعی را با اعداد یونانی(دی، تری، تترا، پنتا ...) بیان و در آخر نام شاخه فرعی را می نویسیم.
6- در نام گذاری ابتدا نام شاخه فرعی را می آوریم که اولین حرف آن در زبان انگلیسی مقدم تر باشد. به عنوان مثال اتیل زودتر از متیل می آید.
7- اگر شاخه فرعی به جای گروه های آلکیل، هالوژن باشد، نام آن با پسوند (و) می آید؛ به عنوان مثال: Cl کلرو یا Br برمو
8- در انتخاب زنجیر اصلی دقت کنیم که گروه اتیل نمی تواند در جایگاه دوم قرار بگیرد.
نام گذاری آلکن های راست زنجیر
در آلکن های راست زنجیر دارای 4 اتم کربن یا بیش تر، پیوند دوگانه می تواند در موقعیت های متفاوتی قرار گیرد. به همین دلیل آلکن مورد نظر از سمت نزدیک تر به پیوند دوگانه شماره گذاری می شود و محل پیوند دوگانه با شماره نخستین کربنی که به پیوند دوگانه متصل است مشخص می شود. سپس قبل از آلکن مورد نظر شماره کربن دارای پیوند دوگانه آورده می شود.
آلکن ها به دلیل داشتن پیوند دوگانه سیر نشده هستند چون هر یک از دو اتم کربن مربوط به پیوند دوگانه به 3 اتم متصل هستند. آلکن ها از آلکان های هم کربن خود، دو اتم هیدروژن کم تر دارند. وجود پیوند دوگانه باعث می شود که رفتار آلکن ها با آلکان ها تفاوت زیادی داشته باشد. به گونه ای که آلکن ها برخلاف آلکان ها واکنش پذیری بیش تری دارند و در واکنش های زیادی شرکت دارند که در صفحه ی بعد اشاره شده است.
توجه: در این واکنش پیوند کربن – کربن در مولکول اتن شکسته شده و به یکی از کربن ها، اتم H و به دیگری، گروه OH متصل است. در واقع مولکول آب به اتم های کربن اضافه شده و فرآورده سیر شده ای تولید می کند.
ب) واکنش آلکن ها با برم مایع: در این واکنش، پیوند دوگانه میان کربن ها شکسته و دو پیوند جدید بین اتم های کربن و اتم های کربن و اتم های Br (برم) ایجاد می شود. به عنوان مثال بر اثر واکنش برم مایع با گاز اتن، ترکیب سیر شده 2،1- دی برومو اتان به دست می آید.
پ) پلیمر شدن آلکان ها: این واکنش ها در فصل سوم مورد بررسی قرار می گیرند که برای تولید انواع لاستیک ها، پلاستیک ها و الیاف به کار می رود.
ت) واکنش آلکن با گاز هیدروژن: در این واکنش آلکن ها با گاز هیدروژن(H2) در حضور کاتالیزگر نیکل (Ni) واکنش داده و به آلکان تبدیل می شود. مانند:
آلکین ها
هیدروکربن های سیر نشده ای هستند که در ساختار خود یک پیوند سه گانه کربن – کربن(C≡C) دارند. فرمول عمومی آن ها به صورت C_n H_(2n-2) می باشد. که رد آن ها ... و 3 و 2= n است. جرم مولی آن ها از رابطه2 - n14 به دست می آید.
ساده ترین آن ها اتین (C_2 H_2) است و برای نام گذاری سایر آن ها مانند آلکن ها عمل می شود. با این تفاوت که انتهای نام زنجیر اصلی از پسوند «ین» به جای « ِ ن» استفاده می شود.
آلکین ها از آلکان های هم کربن، 4 اتم هیدروژن کم تر و از آلکن های هم کربن، 2 اتم هیدروژن کم تر دارند. پس سیر نشده محسوب می شوند. البته واکنش پذیری آن ها از آلکن ها بیش تر است، چون سیر نشده تر از آلکن ها هستند.
آلکان < آلکن < آلکین :واکنش پذیری
هیدرو کربن های حلقوی
ترکیب های آلی بسیاری شناخته شده اند که در آن ها از اتصال 3 کربن، ساختاری حلقوی به وجود می آید.
هیدروکربن های حلقوی می توانند سیر شده یا سیر نشده باشند. به عنوان مثال سیکلو آلکان ها، سیرشده و ترکیبات آروماتیک سیر نشده می باشند.
سیکلو آلکان ها: هیدروکربن های حلقوی سیر شده ای هستند که فرمول عمومی آن ها (C_n H_2n) می باشد. در آن ها ... و 4 و 3= n است.

هیدروکربن های آروماتیک: هیدروکربن های حلقوی سیر نشده ای هستند که بنزن (C_6 H_6) سرگروه آن ها می باشد و دارای ساختار زیر است.

نفتالن: یکی دیگر از ترکیبات آروماتیک است که دارای فرمول مولکولی (C10 H8) می باشد. در این ترکیب پنج پیوند دوگانه یکی در میان و دو حلقه شش ضلعی وجود دارد.

گروه های عاملی مهم اکسیژن دار
گروه کربونیل: این گروه عاملی مختص آلدهید ها و کتون هاست. در آلدهید ها این گروه عاملی در ابتدای زنجیره کربنی قرار می گیرد و از یک سمت حتما به H متصل است. مانند بنزآلدهید. ولی در کتون ها این گروه عاملی از هر دو سمت به کربن متصل است.

گروه هیدروکسیل
این گروه عاملی مختص الکل ها است.
مانند ترکیب آلی موجود در گشنیز که سبب طعم و بوی آن می شود.

گروه اتری
این گروه مختص اتر هاست. مانند ترکیب آلی موجود در رازیانه که موجب ایجاد طعم و بوی آن می شود.

ایزومر
به موادی که فرمول مولکولی یکسان ولی ساختار متفاوتی دارند، ایزومر یا هم پار گفته می شود.
ایزومر ها دارای خواص فیزیکی و شیمیایی متفاوتی هستند و محتوی انرژی آن ها نیز با هم متفاوت است.

نکته: آلدهید ها و کتون های سیر شده و هم کربن ایزومر هستند.
نکته: الکل ها و اترهای سیر شده و هم کربن نیز ایزومر هستند.
مقایسه بنز آلدهید و بنزوئیک اسید
بنزآلدهید دارای گروه عاملی آلدهیدی و بنزوئیک اسید دارای گروه عاملی کربوکسیل(-COOH) است.
فرمول مولکولی بنزآلدهید C7H6O است در حالی که فرمول مولکولی بنزوئیک اسید C7H6O2 است.
در ساختار هر دو ترکیب، یک حلقه بنزنی وجود دارد. بنابراین هر دو، آروماتیک به شمار می روند.
بنزآلدهید در بادام و بنزوئیک اسید در تمشک و توت فرنگی وجود دارد.
در ساختار بنز آلدهید و بنزوئیک اسید به ترتیب 18 و 19 پیوند اشتراکی وجود دارد.
در ساختار بنزآلدهید و بنزوئیک اسید به ترتیب 2 و 4 جفت الکترون ناپیوندی وجود دارد.
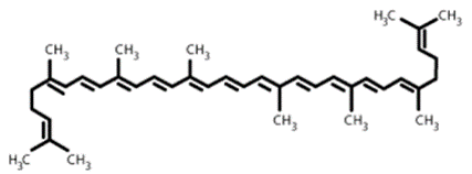
یکی از بازدارنده ها، لیکوپن بوده که در هندوانه و گوجه فرنگی وجود دارد.
فرمول موکلولی لیکوپن C40H56 بوده و ساختار آن به صورت زیر است. در ساختار این ماده 13 پیوند دوگانه وجود دارد.
طولانی ترین زنجیر در این مولکول شامل 32 اتم کربن بوده است؛ از این رو دارای 8 شاخه ی فرعی متیل است.
در ساختار لیکوپن 108 پیوند اشتراکی وجود دارد.


تفلون
تفلون دارای ویژگی های زیر می باشد:
1- نقطه ذوب بالایی دارد و در برابر گرما مقاوم است.
2- از نظر شیمیایی بی اثر است و با مواد شیمیایی واکنش نشان می دهد.
3- در حلال های آلی حل نمی شود و نچسب است.
انواع پلی اتن:
پلی اتن سبک: این نوع پلی اتن چگالی کمتری دارد و شفاف است. از آن ها به دلیل انعطاف پذیری بیشتر در تولید کیسه پلاستیک استفاده می شود و پلی اتن شاخه دار محسوب می شود.

پلی اتن سنگین: این نوع پلی اتن چگالی بیشتری دارد و کدر است، از آن برای تهیه ی لوله های پلاستیکی، دبه های آب یا بطری کدر شیر که سخت تر و محکم تر هستند، استفاده می شود و بدون شاخه نیز هستند.


ساده – آزمون کانون قلم چی 99


ساده – آزمون کانون قلم چی 99


متوسط – آزمون کانون قلم چی 99


متوسط – آزمون کانون قلم چی 99


سخت – آزمون کانون قلم چی 99

دوستان عزیز می توانید برای دسترسی به نسخه کامل خلاصه نکات به همراه پاسخ، فایل پی دی اف زیر را دانلود کنید!
فراموش نکنید اگر سوالی در رابطه با این مبحث داشتید می توانید به راحتی در کامنت ها سوال خود را برای ما بنویسید.
دوستان عزیزم؛ برای ارتباط با رتبه برترها صفحه اینستاگرام زیر رو دنبال کنید.
با آرزوی موفقیت و کامیابی


