سلام
در این مطلب میخواهیم به جمع بندی مبحث اعمال روی توابع بپردازیم.
همچنین سوال یا پیشنهاد خودتون رو در قسمت کامنت های این مطلب مطرح کنید.
با ما همراه باشید!
![]() | فارغ التحصیل رشته مهندسی شیمی دانشگاه شریف رتبه 108 منطقه سه- کنکور ریاضی 1394 |
برای یادآوری مطالب مربوط به مبحث تابع میتوانید به لینکهای زیر مراجعه کنید.
تابع- ریاضی دهم- درسنامه - مهدیه امین
انواع تابع- حسابان1- درسنامه - مهدیه امین
وارون تابع- حسابان1- درسنامه - مهدیه امین
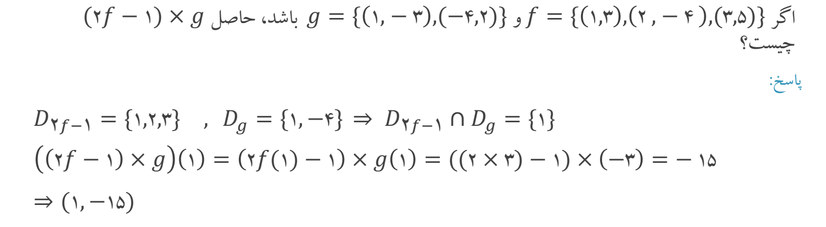
اعمال جبری روی توابع

نکته: برای انجام اعمال جبری روی توابع زوج مرتبی، باید xهای مشترک زوجهای مرتب را در نظر گرفته و عملیات مورد نظر را روی yهای نظیر آنها انجام دهید.
مثال:

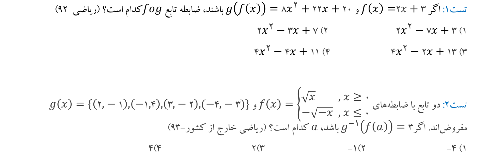
ترکیب توابع
دو تابع f و g مفروضاند.

ویژگیهای تابع مرکب:
1. ترکیب توابع خاصیت جابهجایی ندارد؛ یعنی fog(x)≠gof(x)
2. ترکیب توابع خاصیت شرکت پذیری دارد.


پاسخ تست ها رو میتونید در pdf بارگذاری شده در انتهای مطلب مشاهده کنید.
دوستان عزیزم؛ برای ارتباط با رتبه برترها صفحه اینستاگرام زیر رو دنبال کنید.

