سلام
در این مطلب میخواهیم به جمع بندی مبحث وارون تابع بپردازیم.
همچنین سوال یا پیشنهاد خودتون رو در قسمت کامنت های این مطلب مطرح کنید.
با ما همراه باشید!
![]() | فارغ التحصیل رشته مهندسی شیمی دانشگاه شریف رتبه 108 منطقه سه- کنکور ریاضی 1394 |
برای یادآوری مطالب مربوط به مبحث تابع میتوانید به لینکهای زیر مراجعه کنید.
تابع- ریاضی دهم- درسنامه - مهدیه امین
تابع- حسابان1- درسنامه - مهدیه امین
تابع یک به یک
تابع f یک به یک است هرگاه هر دو عنصر متمایز در دامنه، به دو عنصر متمایز در برد نظیر شوند.
شرط یک به یک بودن در نمایشهای مختلف تابع:
1. از دیدگاه نمودار ون: هرگاه به هر عضو مجموعه دوم بیش از یک فلش وارد نشده باشد، نمودار ون تابع یک به یک را نمایش میدهد.

2. از دیدگاه زوج مرتبی: هرگاه هیچ دو زوج مرتب متمایز عضو زوج مرتب، دارای مولفه دوم یکسان نباشند یا در صورتی که دو زوج مرتب دارای مولفههای دوم یکسان باشند، مولفههای اولشان نیز باید برابر باشند، زوج مرتب تابع یک به یک را نمایش میدهد. مثال:
f={(2-،2)،(1،7)،(2-،2)}
3. از دیدگاه هندسی(نموداری): به طور کلی میتوان گفت که یک تابع در صورتی یک به یک است که هر خط موازی محورx ها، نمودار آن را حداکثر در یک نقطه قطع کند.

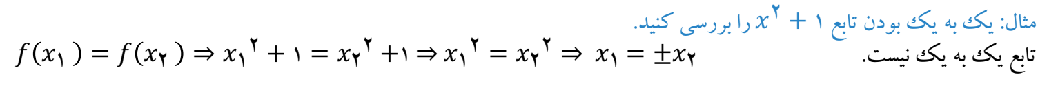
4. از دیدگاه ضابطه: اگر تابع y=f(x) تابعی یک به یک باشد، مطابق تعریف ریاضی داریم:


تابع وارون
اگر f یک تابع باشد و به هر عنصر در برد، دقیقا یک عنصر در دامنه نظیر شود، تابع وارون پذیر است. اگر تابعی چنین ویژگی را داشته باشد، آن را یک به یک مینامیم. اعضای این تابع از جابهجایی اعضای دو مولفه زوج مرتب حاصل میشود.
نمودارتابع وارون، قرینه نمودار نسبت به نیمساز ربع اول و سوم است.
برای یافتن ضابطه تابع وارون f، ابتدا در تابع y=f(x) ، x را برحسب y یافته، سپس جای x و y را عوض میکنیم و ضابطه f(x) را مینویسیم.


پاسخ تست ها رو میتونید در pdf بارگذاری شده در انتهای مطلب مشاهده کنید.
دوستان عزیزم؛ برای ارتباط با رتبه برترها صفحه اینستاگرام زیر رو دنبال کنید.

