سلام
در این مطلب میخواهیم با هم به جمع بندی نکات شیمی دهم از صفحه 15 تا 22 (مطابق با آزمون) و خلاصه نکات که برای پاسخگویی به سوالات آزمون باید به آنها مسلط باشید، بپردازیم.
![]() | دانشجوی مهندسی عمران دانشگاه تهران رتبه 328 منطقه دو - کنکور ریاضی 1398 |
عنصر های دسته ی d
همانطور که قبلا خواندیم عنصرهای جدول دوره ای را بر اساس زیرلایه های در حال پر شدن به 4 دستهء f ,d ,p ,s تقسیم می کنند. عنصرهای دستهء d همگی فلز هستند و در جدول دوره ای، بین فلزهای دستهء p ,s قرار گرفته اند. از این رو فلزهای دستهء d به فلزهای واسطه معروف اند. فلزهای دستهء p ,s هم به فلزهای اصلی شهرت دارند.
•حالا که عنصرهای دستهء d همگی فلزند، پس به طور کلی، رفتاری شبیه بقیهء فلزها دارند؛ مثلا رسانای جریان الکتریکی و گرما هستند، چکش خوارند و قابلیت ورقه شدن دارند.
•اولین سری از فلزهای واسطه، در دورهء چهارم جدول دوره ای قرار دارند و دارای عددهای اتمی 21 تا 30 هستند. نماد شیمیایی همهء این عنصرها به جز وانادیم (V) از دو حرف تشکیل شده است.
یادآوری: آرایش الکترونی 24Cr و 29Cu، از قاعدهء آفبا پیروی نمی کند.
•اغلب فلزهای واسطه در طبیعت به حالت آزاد (عنصری) نیستند و به شکل ترکیب های یونی مانند اکسیدها، کربنات ها و .. یافت می شوند. به طور مثال آهن، دواکسید طبیعی با فرمول های FeO, Fe2O3 دارد.
•اسکاندیم 21Sc نخستین فلز واسطه در جدول دوره ای است و در وسایل خانه مانند تلویزیون رنگی و برخی شیشه ها وجود دارد.
طلا 79Au فلزی ارزشمند و گران از دسته ی dجدول دوره ای است که علاوه بر ویژگی های مشترک فلزها، ویژگی های منحصر به فردی دارد.
برخی از فلزهای واسطه که بیش ازیک نوع کاتیون دارند.
تست 1:

تست 2:


مقایسه ی واکنش پذیری عناصر
واکنش پذیری هر عنصر به معنای تمایل اتم آن به انجام واکنش شیمیایی است. هر چه واکنش پذیری اتم های عنصری بیشتر باشد، در شرایط یکسان تمایل آن برای انجام واکنش و تبدیل شدن به ترکیب بیشتراست.
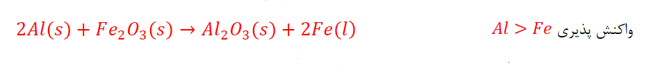
* درهر واکنش شیمیایی که به طور طبیعی انجام می شود، واکنش پذیری فراورده ها از واکنش دهنده ها کمتر است؛ پس اگر یک واکنش به ما بدهند که در دو طرفش به عنصر آزاد وجود داشته باشد و بگن که این واکنش به طور طبیعی انجام میشه، ما خیلی سریع می تونیم واکنش پذیری دو عنصرآزاد در دو طرف معادله را با هم مقایسه کنیم:

در معادله کلی بالا، واکنش پذیری Cاز Bبیشتر بوده است؛ به همین دلیل میل بیشتری به تشکیل ترکیب داشته؛ از این رو با انجام واکنش، جایش را با B عوض می کند. واکنش زیر به طور طبیعی انجام می شود.

واکنش پذیری فراورده (Fe)از واکنش دهنده (Al) کم تراست.
واکنش ترمیت ازآهن مذاب تولید شده برای جوش دادن خطوط راه آهن استفاده می شود.
Al> C > Zn > Fe > Cu, Ag, Auفلز های گروه 1 و 2 :واکنش پذیری

درشرایط یکسان تمایل سدیم و پتاسیم برای تبدیل شدن به کاتیون بیشتر از فلزهای دیگراست..
تست 3:

تست 4:

تست 5:

دوستان عزیز می توانید برای دسترسی به نسخه کامل خلاصه نکات به همراه پاسخ فایل پی دی اف زیر را دانلود کنید!
فراموش نکنید اگر سوالی در رابطه با این مبحث داشتید می توانید به راحتی در کامنت ها سوال خود را برای ما بنویسید.
دوستان عزیزم؛ برای ارتباط با رتبه برترها صفحه اینستاگرام زیر رو دنبال کنید.
با آرزوی موفقیت و کامیابی

