سلام کانونی عزیز
در این مطلب مفاهیم و نکات فصل جریان الکتریکی و مدارهای جریان مستقیم،بخش قانون اهم و ترکیب مقاومتها را مرور میکنیم.
🔵ویژگیهای مطلب🔵
1- درسنامه و نکات فصل جریان الکتریکی و مدارهای جریان مستقیم
2- 5 تست شناسنامه دار
3-پاسخ کلیدی تست ها
4- ویدئو پاسخ تشریحی تست ها
![]() | مولف: گلناز حسینخانی رتبه320 منطقه 2 کنکور ریاضی1402 دانشجوی مهندسی مکانیک دانشگاه تهران |
در ابتدا سوالاتی که از این بخش از جریان الکتریکی و مدارهای جریان مستقیم در امتحان نهایی 1403 آمده است را میبینیم.
حال به سراغ درسنامه میرویم.
جریان الکتریکی: واحدش آمپر است. I=∆q/∆t
توجه: یکی از واحدهای رایج بار، آمپر ساعت است که هر آمپر ساعت معادل 3600 کولن(آمپرثانیه)است.
قانون اهم: R=V/I
به رساناهایی که از این قانون پیروی میکنند رسانای اهمی گفته میشود.
عوامل موثر بر مقاومت: R=ρ L/A
L طول، A سطح مقطع و ρ مقاومت ویژه است و واحدش اهم متر است که به جنس و دما وابسته است.
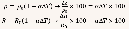
تاثیر دما:
α ضریب دمایی مقاومت ویژه است. مقاومت رساناها با افزایش دما افزایش مییابد و نیمه رساناها برعکس.
انواع مقاومتها:
1-پیچهای: پیچهای از سیم نازک هستند که دور یک هسته پیچیدهاند. برای مقاومتهای پایین و دقیق و توان زیاد مناسب است. یکی از انواع مشهور آن رئوستا معروف به پتانسیومتر است که مقاومت قابل تغییر است.
2-ترکیبی: معمولا از کربن و نیمرساناها ساخته میشوند که داخل پوشش پلاستیکی قرار میگیرد. با توجه به رنگ حلقههای روی آن مقاومتش از فرمول زیر بدست میآید.
تلرانس برای محاسبهی خطاست، اگر بی رنگ باشد 20% اگر نقرهای باشد 10% و اگر طلایی باشد 5% را نشان میدهد.
مقاومتهای خاص:
ترمیستور: مقاومت آن وابسته به دماست و در دماپا و... به عنوان حسگر دما استفاده میشود.
دیود: جریان را تنها در یک جهت عبور میدهد که یک نوع معروفش LED است.
مقاومت نوری: مقاومت آن وابسته به نور است و در دزدگیرها و... استفاده میشود.
🔵برای مطالعه ادامه درسنامه جزوه را از فایل ضمیمه دانلود کنید🔵
در آخر 5 تست کنکورهای سالهای اخیر را به همراه پاسخ کلیدی برای تان قرار دادیم.
🔴برای مشاهده پاسخ تشریحی و تحلیل تست ها میتوانید اینجا کلیک کنید. 🔴
🔵عضویت در کانال تلگرام کانون برترها🔵

