سلام به همه دوستان !
10 تست با پاسخ تشریحی + تست های پیشنهادی رتبه برترها
امیدواریم مطالب بیان شده ، به شما در یادگیری بهتر ، کمک کند .
تهیه شده توسط :
امیرحسین کمانی - رتبه 138 کنکور 1401 / حقوق تهران


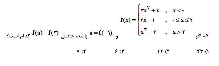
2- چه تعداد از موارد زیر بیانگر یک تابع ثابت هستند ؟
الف) هزینه هر لیتر بنزین، در هر زمان شبانهروز در یک پمپ بنزین 1000 تومان است.
ب) تندی دوران عقربه ساعت شمار در هر زمان شبانهروز مقداری مشخص است.
پ) مقدار سوختی که هر خودرو برحسب مسافت طیشده مصرف میکند.
1) 1 2) 2 3) 3 4) صفر









برای دریافت پاسخ تشریحی تست ها
و همچنین تست های پیشنهادی رتبه برترها
فایل پی دی اف را از قسمت ضمیمه دانلود کنید .
سپاس از توجه شما 🌹

