سلام به همه بچه زرنگای دهم تجربی...
خب توی این قسمت، میخوایم با هم درسنامه ریاضی مختص آزمون 18 آذر از ایمان نخستین رو بررسی کنیم.
یک ویژگی مهم این درسنامه این هست که هر نکته و فرمول رو با سوال و تست های متنوع بررسی و حل میکنه.
چون تعداد تست های بررسی شده توی این درسنامه زیاد بود، فقط تعدادی از اون ها رو براتون نوشتم. برای دانلود بقیه تست های این درسنامه،به فایل ضمیمه مراجعه کن!
این یک ویژگی مهم توی درس ریاضی هست پس همراهم باش تا بتونی روی این مبحث مسلط بشی.
من امیررضا حکمت نیا هستم دانشجوی پزشکی علوم پزشکی تهران.
بریم که یاد بگیریم....
روابط بین نسبت های مثلثاتی
روابط بین نسبت های مثلثاتی زاویه آلفا (روابط پایه)

با توجه به روابطی که براتون استخراج کردم، آیا می توانید برای این دو عبارت مثلثاتی که در پایین نوشتم عبارت معادل پیدا کنید؟

















ریشه و توان :
منظور از ریشۀ n ام a یعنی عددی که اگر به توان n برسد برابر a می شود .

نتیجه:


توجه به نمودارهای زیر در درک مطالب فوق بسیار راهگشاست:


مقایسۀ ریشه n اُم عدد a با خود a :

به طور شهودی جایگاه این اعداد روی محور به صورت زیر است:








توان های گویا :


ویژگی های توان گویا :
اگر r , s دو عدد گویا و a , b اعدادی مثبت باشند داریم:

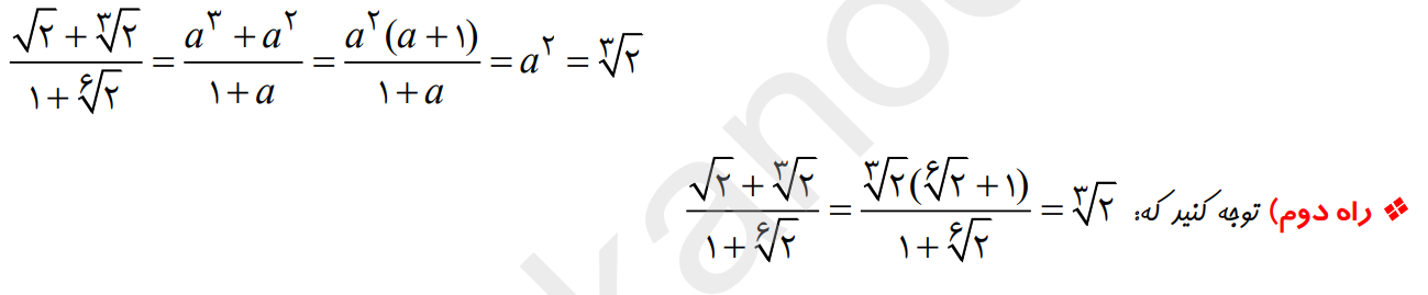
خواص رادیکال :

نکته: فرض کنید a , b دو عدد مثبت m , n دو عدد طبیعی باشند.
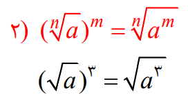
ساده کردن فرجه با توان:

به توان رساندن رادیکال:

ضرب دو رادیکال هم فرجه:

تقسیم دو رادیکال هم فرجه:

رادیکال های مکرر:

بردن عدد به زیر رادیکال:

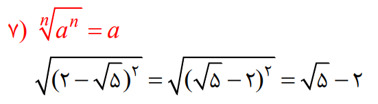
حذف توان و فرجۀ برابر:














