سلام خدمت همه همراهان دهم تجربی.
امروز با یه درسنامه دیگه از شیمی دهم مبحث آرایش الکترونی و ساختار لوییس اومدم
بریم که باهم خوب بررسیشون کنیم و یاد بگیریم
یه نکته مهم: ساختار لوییس از پایه ترین مباحث و مهم ترین بخش های شیمی دهم هست که
اگه خوب یاد نگیری، کارت میلنگه ولی اگه خوب مسلط شدی، کلاهتو بنداز هوا.
امیررضا حکمت نیا-پزشکی دانشگاه تهران
آرایش الکترونی اتم:
_ رفتار و ویژگی های هر اتم را می توان از روی آرایش الکترونی آن توضیح داد: بنابراین یافتن آرایش درست الکترون ها در هر اتم از اهمیت بسیاری برخوردار است.
_ مطابق مدل کوانتومی برای به دست آوردن آرایش الکترونی اتم ها باید الکترون های اتم هر عنصر در زیرلایه ها و با نظم و ترتیب معینی توزیع شود.
__ Aufbauواژه ای آلمانی به معنای ساختن یا افزایش گام به گام است.
- انرژی زیرلایههای مختلف به n و n+l بستگی دارد بطوریکه اگر n+l برای زیرلایههای مختلف یکسان باشد، زیرلایه ای با n بزرگتر، انرژی بیشتری دارد.
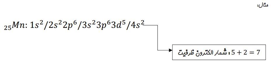
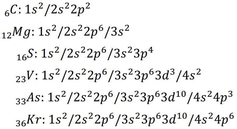
براین اساس آرایش الکترونی چند عنصر به صورت زیر خواهد بود:
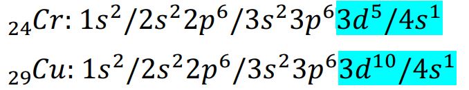
_ داده های طيف سنجی نشان ميدهد كه آرايش الكترونی برخی اتم هـا از قاعـدە آفبـا پيـروی نمـی كنـد.
بـرای نمونـه آرايـش 24𝐶𝑟 و 29𝐶𝑢 از اين قاعده پيروی نميكند و برای بدست آوردن آرايش آنها از روش های طيف سنجی پيشرفته استفاده می کنند.
_ آرايش الكترونی اتم ها را به شيوۀ ديگری نيز ميتوان نوشت كه آرايش الكترونی فشرده ناميده ميشـود.
_ در اين آرايش الكترونی از نماد گازهای نجيب استفاده ميشود بطوريكه بـرای نوشـتن آن، نخسـت آرايـش اتـم
موردنظر به صورت گسترده نوشته می شود؛ سپس بخشی از آرايش الكترونی كه همانند آرايش الكترونی يك گـاز
نجيب است با عبارت (نماد شيميايي گاز نجيب) جايگزين ميشود.
| لايه ظرفيت: | _ اهميت آرايش الكترونی فشرده به دليل نمايش آرايش الكترون ها در بيرونی ترين لايه به نام لايه ظرفيت اتم است. _ لايه ظرفيت يك اتم، لايه ای است كه الكترون های آن، رفتار شيميايی اتم را تعيين می كند. _ به الكترون های اين لايه، الكترون های ظرفيت اتم می گويند. |
__ در عنصرهای دسته 𝒅 از دوره ٔ چهارم، الكترون های ظرفيت شامل الكترون ها در زيرلايه های 4sو 3d است.
تعيين موقعيت عناصر:
1) تعيين دوره (تناوب): شماره بيرونی ترين لايه در آرايش الكترونی يك عنصـر نشـان دهنـده شـماره دوره آن است.
2) تعيين گروه:
| _ اگر آخرين الكترون وارد زيرلايه 𝒔 شده باشد: شماره گروه برابر تعداد الكترون آخرين زيرلايهء s است. |
| _ اگر آخرين الكترون وارد زيرلايه 𝒅 شده باشد: شماره گروه برابر حاصل جمع تعداد الكترون آخرين زيرلايه های s و d خواهد بود. |
| _ اگر آخرين الكترون وارد زيرلايه 𝒑 شده باشد: شماره گروه برابر 12 به اضافه تعداد الكترون های آخرين زير لايه p است. |
ساختار اتم و رفتار آن:
_ گازهای نجيب در طبيعت به شكل تك اتمی يافت می شوند. اين واقعيت بيانگر اين است كه اين گازها واكنش ناپذير بوده يا
واكنش پذيری بسيار كمی دارند، از اين رو پايدارند.
_ در لايه ظرفيت اتم های گازهای نجيب، هشت الكترون وجود دارد (به جز هليم كه در تنها لايه الكترونی خـود، دو الكتـرون
دارد)؛ با اين توصيف ميتوان گفت كه بين پايداری و آرايش الكترونی لايه ظرفيت اتم ها بايد رابطه ای باشد به طوريكه اگر لايـه
ظرفيت اتمی، همانند آرايش الكترونی يك گاز نجيب بوده يا هشت تايی باشد، آن اتم واكنش پذيری چندانی نـدارد؛ بـه ديگـر
سخن اگر لايه ظرفيت اتمی چنين نباشد، آن اتم واكنش پذير است.
آرايش الكترون – نقطه ای:
_لوويس برای توضيح و پيش بينی رفتار اتم ها، آرايشی به نام آرايش الكترون ــ نقطه ای ارائه كرد كـه در آن الكتـرون هـای
ظرفيت هر اتم، پيرامون نماد شيميايی آن با نقطه نمايش داده می شود.
_برای رسم آرايش الكترون ــ نقطه ای هر اتم، ميتوان نقطه گذاری را از يك سمت مانند سمت راست نماد شيميايی عنصـر
آغاز كرد و نقطه های بعدی را در زير، سمت چپ و بالای آن قرار داد. الكترون پنجم و پس از آن را بايد طـوری پيرامـون نمـاد
شيميايی عنصر قرار داد كه هر يك به صورت جفت نقطه درآيد.
_ رفتار شيميايي هر اتم به شمار الكترون های ظرفيت آن بستگی دارد به طوری كه ميتوان دستيابی به آرايش گاز نجيب را مبنای رفتار آنها دانست.
در واقع اتم ها می توانند با دادن الكترون، گرفتن الكترون و نيز به اشتراك گذاشتن آن به آرايش يك گاز نجيب برسند يا هشت تايی شوند تا پايدارتر گردند.
تشكيل سديم كلريد (𝑵𝒂𝑪𝒍):
_ هرگاه اتم های سدیم و کلر کنار یکدیگر قرار گیرند، اتم سدیم با از دست دادن یک الکترون به یون سدیم و اتم کلر با گرفتن یک الکترون به یون کلرید تبدیل شده و در این واکنش سدیم کلرید (نمک خوراکی) تولید می شود.
_ طی این واکنش، اتم های سدیم با از دست دادن الکترون به آرایش پایدار گاز نجیب پیش از خود(نئون) و اتم های کلر با گرفتن الکترون به آرایش پایدار گاز نجیب هم دوره خود(آرگون) می رسند.
چند نكته:
1_ بررسی ها نشان ميدهد كه اغلب اتم ها در طبيعت به صورت يون در تركيب های گوناگون يافت ميشود.
2_ اگر شمار الكترون ظرفيت اتمی كمتر يا برابر با 3 باشـد آن اتـم در شـرايط مناسـب تمايـل دارد كـه همـه
الكترون های ظرفيت خود را از دست بدهد و به كاتيون تبديل شود.
3_ اتم عناصر گروه های 1و 2 در شرايط مناسب با از دست دادن الكترون به كاتيون تبديل می شوند كه آرايشی
همانند آرايش الكترونی گاز نجيب پيش از خود را دارند.
۴_ اتم عناصر گروه های 16 ،15 و 17 در شرايط مناسب با گرفتن الكترون به آنيون هايی تبديل مـی شـوند كـه
آرايشی همانند آرايش الكترونی گاز نجيب هم دوره خود را دارد.
خب این درسنامه هم تموم شد آخیییییش!!!!
هفته بعد سه شنبه منتظر تست های همین درسنامه باش:))))
برای دانلود فایل پی دی اف این درسنامه، به فایل های ضمیمه در زیر برو....
یاحق.
