سلام دوستان عزیز
در این مطلب قصد داریم یک دام از کتاب ریاضی دهم و حسابان 1 را برای آزمون 25 شهریور پیش بینی کنیم ؛ با بررسی این دام های احتمالی ، هم مبحث را بهتر یاد میگیریم و هم در صورت مواجه شدن با آنها در آزمون ها ، اشتباه نمیکنیم.
| رتبه 150 منطقه 2 کنکور 99 دانشجوی مکانیک دانشگاه صنعتی شریف |
صفحه اینستاگرام و کانال تلگرام ما
برای ارتباط بیشتر با رتبه برترها و رزرو پشتیبان ویژه، پیج کانون برترها را دنبال کنید و به کانال فوق العاده تلگرامی کانون برترها ملحق بشید تا از مطالب عالی این کانال جا نمونید.

ریاضی دهم
❓ سکه ای را آنقدر پرتاب میکنیم تا برای سومین بار رو بیاید، احتمال آنکه در هشتمین پرتاب به این منظور برسیم کدام است؟
1) 21/256
2)35/256
3)21/128
4)56/256
✅ پاسخ صحیح : گزینه 1
⛔ گزینه دام : گزینه 4
✅ پاسخ تشریحی :
در کل 8 تا پرتاب داریم اما در پرتاب هشتم میدانیم که به طور قطعی، سکه "رو " می آید. اما در 7 پرتاب قبلی اطلاعی نداریم که دقیقا در کدام پرتاب ها ( در 2 پرتاب) سکه رو آمده است. پس در واقع باید از 7 تا ، 2 تا پرتاب انتخاب کنیم که رو آمده. درست حدس زدید! ترکیب 2 از 7، تقسیم بر 2 به توان 7 ( تعداد کل احتمال ها ). در ضمن احتمال اینکه در پرتاب هشتم سکه رو بیاید، 1/2 است.
⚠ نکته : این تیپ سوال میتواند برای تعداد فرزندان یک خانواده هم مطرح شود.
⛔ دام : اکثر دانش آموزان گزینه 4 را انتخاب میکنند چون اینطوری فکر میکنند که از بین 8 پرتاب قراره 3 پرتاب رو بیاید، پس باید ترکیب 3 از 8 را بر 2 به توان 8(تعداد کل حالات) تقسیم کنند که کاملا اشتباه استو دانش آموزان به "1/2 بودن احتمال رو آمدن پرتاب آخر" توجه نمیکنند.

حسابان 1
❓ صورت سوال به شکل زیر است :
✅ پاسخ صحیح : گزینه 3
⛔ گزینه دام : گزینه 1 و 2
✅ پاسخ تشریحی :
⚠ نکته : اگر عبارت داخل جزء صحیح به سمت بی نهایت میل کند، میتوان نتیجه گرفت جزء صحیح با عبارت داخل آن هم ارز است.
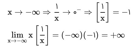
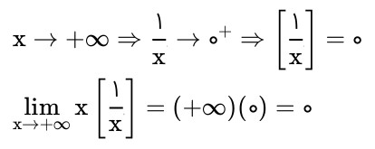
بررسی گزینه اول : 
بررسی گزینه دوم :

بررسی گزینه سوم :

بررسی گزینه چهارم :

⛔ دام : اکثر دانش آموزان بین گزینه 1 یا 2 به شک میفتند چون فکر میکنند با احتمال خیلی زیاد یکی از این دو گزینه جواب سوال است، آن هم بخاطر آنکه عبارت داخل جز صحیح را بی نهایت و عبارت بیرون جزء صحیح را صفر مطلق فرض میکنند و عبارت را درنهایت 0 حساب میکنند، اما به نکته اصلی سوال توجه نمیکنند که " اگر داخل جزء صحیح به بینهایت میل کند، همان عبارت یک ایکسم بیرون میآید ".
اگر از این مباحث دامی به نظرتان آمد ، در کامنت ها به اشتراک بگذارید.
نویسنده : محمد مهدی کربلایی / دانشجوی مکانیک صنعتی شریف
سپاس از توجه شما 🌹

