نامعادلات قدرمطلقی_درسنامه ریاضی دهم_مهدی حاجی نژادیان

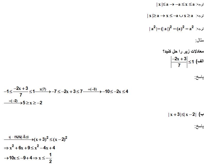
در این مطلب خلاصه نکات «حل نامعادلات قدرمطلقی» ریاضی دهم برای آمادگی بیشتر شما در آزمون 21 بهمن ماه، توسط توسط مهدی حاجی نژادیان رتبه 13 دکترا عمران برای شما آورده شده‌است.

نامعادلات قدرمطلقی_درسنامه ریاضی دهم_مهدی حاجی نژادیان

سلام به دانش‌آموزان عزیز دهم ریاضی 

در این مطلب خلاصه نکات «حل نامعادلات قدرمطلقی» ریاضی دهم برای آمادگی بیشتر شما در آزمون 21 بهمن ماه، توسط توسط مهدی حاجی نژادیان رتبه 13 دکترا عمران برای شما آورده شده‌است.

نامعادلات قدرمطلقی_درسنامه ریاضی دهم_مهدی حاجی نژادیان

فایل های ضمیمه

Menu