سلام
در این مطلب به بررسی تیپهای مختلف سوالات کنکوری مبحث حد در بی نهایت (به همراه پاسخ تشریحی) میپردازیم.
همچنین سوال یا پیشنهاد خودتون رو در قسمت کامنت های این مطلب مطرح کنید.
با ما همراه باشید!
![]() | فارغ التحصیل رشته مهندسی شیمی دانشگاه شریف رتبه 108 منطقه سه- کنکور ریاضی 1394 |
تعداد تست های طراحی شده از این فصل در کنکور: از این مبحث در کنکور 1400 دو تست مستقیم و یک تست ترکیبی و در کنکور 99 دو تست طرح شده است.
با حل تستهای کنکور سالهای اخیر میتونید به تسلط خوبی روی این مباحث برسید.
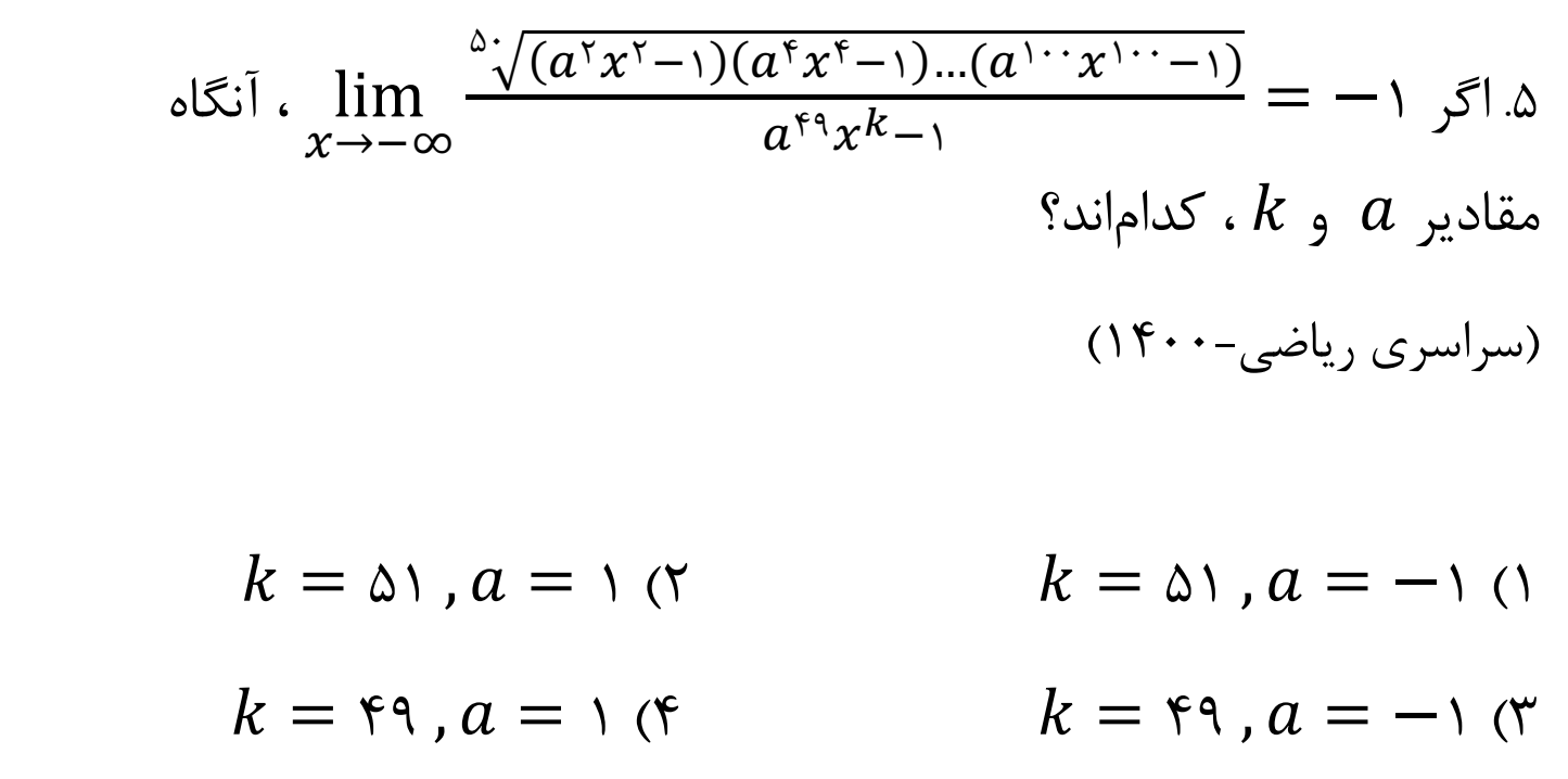
تست کنکور 1

تست کنکور 2

تست کنکور 3

تست کنکور 4

تست کنکور 5

پاسخ کلیدی
تست1 | تست2 | تست3 | تست4 | تست5 |
گزینه 1 | گزینه 1 | گزینه 1 | گزینه 4 | گزینه 2 |
پاسخ تشریحی تستها رو میتونید در فایل پی دی اف مطالعه کنید.
مطالب مرتبط به این مبحث:
حد و پیوستگی- حسابان1- آزمونک- مهدیه امین
حدهای نامتناهی- حسابان2- آزمونک- مهدیه امین
برای ارتباط با رتبه برترها و همچنین دریافت مطالب بیشتر، به صفحه زیر مراجعه کنید.

