سلام
در این مطلب به بررسی تیپهای مختلف سوالات کنکوری مبحث حدهای نامتناهی (به همراه پاسخ تشریحی) میپردازیم.
همچنین سوال یا پیشنهاد خودتون رو در قسمت کامنت های این مطلب مطرح کنید.
با ما همراه باشید!
![]() | فارغ التحصیل رشته مهندسی شیمی دانشگاه شریف رتبه 108 منطقه سه- کنکور ریاضی1394 |
تعداد تست های طراحی شده از این فصل در کنکور: از این مبحث در کنکور 1400 یک تست مستقیم و یک تست ترکیبی، در کنکور 99 یک تست ترکیبی و در کنکور 98 یک تست مستقیم طرح شده است.
⚫ نکات مهم:


با حل تستهای کنکور سالهای اخیر میتونید به تسلط خوبی روی این مباحث برسید.
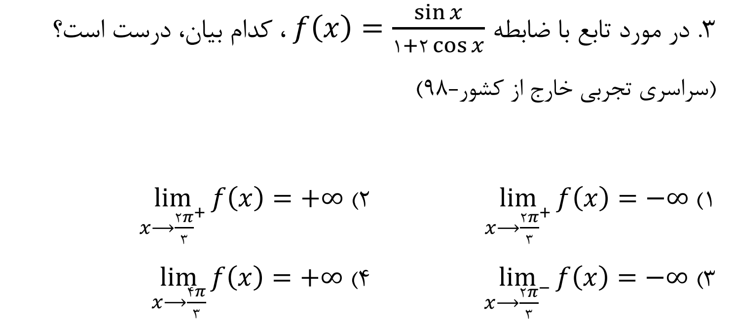
تست کنکور1

تست کنکور2

تست کنکور3

تست کنکور4

تست کنکور5

پاسخ کلیدی
تست 1 | تست 2 | تست 3 | تست 4 | تست 5 |
گزینه 2 | گزینه 4 | گزینه 1 | گزینه 1 | گزینه 2 |
پاسخ تشریحی تستها رو میتونید در فایل پی دی اف مطالعه کنید.
برای ارتباط با رتبه برترها و همچنین دریافت مطالب بیشتر، به صفحه زیر مراجعه کنید.

