سلام
در این مطلب به بررسی تیپهای مختلف سوالات کنکوری مبحث حد و پیوستگی (به همراه پاسخ تشریحی) میپردازیم.
همچنین سوال یا پیشنهاد خودتون رو در قسمت کامنت های این مطلب مطرح کنید.
با ما همراه باشید!
![]() | فارغ التحصیل رشته مهندسی شیمی دانشگاه شریف رتبه 108 منطقه سه- کنکور ریاضی1394 |
تعداد تست های طراحی شده از این فصل در کنکور: از این مبحث در کنکور 1400 یک تست، در کنکور 99 دو تست و در کنکور 98 یک تست مستقیم و یک تست ترکیبی طرح شده است.
با حل تستهای کنکور سالهای اخیر میتونید به تسلط خوبی روی این مباحث برسید.
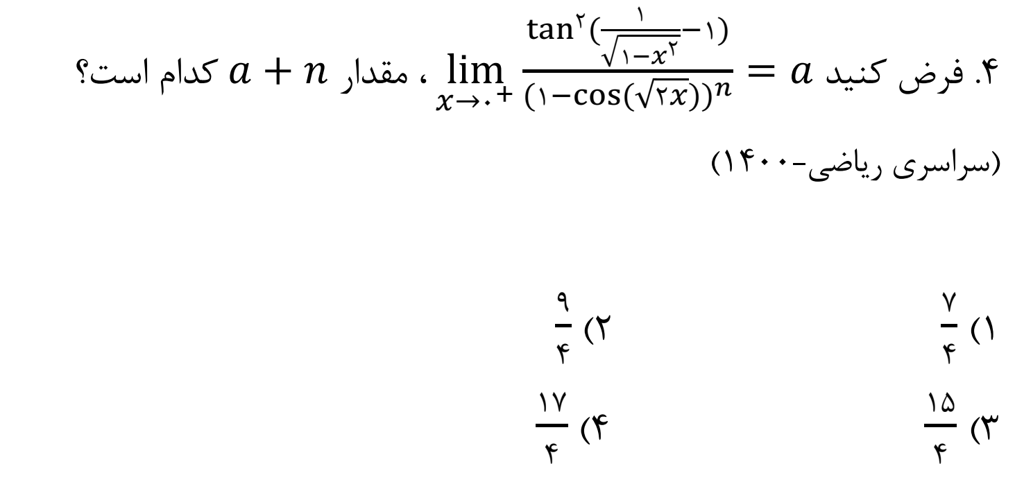
تست کنکور 1

تست کنکور 2

تست کنکور 3

تست کنکور 4

تست کنکور 5

پاسخ کلیدی
تست1 | تست2 | تست3 | تست4 | تست5 |
گزینه2 | گزینه1 | گزینه4 | گزینه4 | گزینه2 |
پاسخ تشریحی تستها رو میتونید در فایل پی دی اف مطالعه کنید.
برای ارتباط با رتبه برترها و همچنین دریافت مطالب بیشتر، به صفحه زیر مراجعه کنید.

