عبارت‌های جبری و توان_درسنامه ریاضی دهم_مهدی حاجی نژادیان

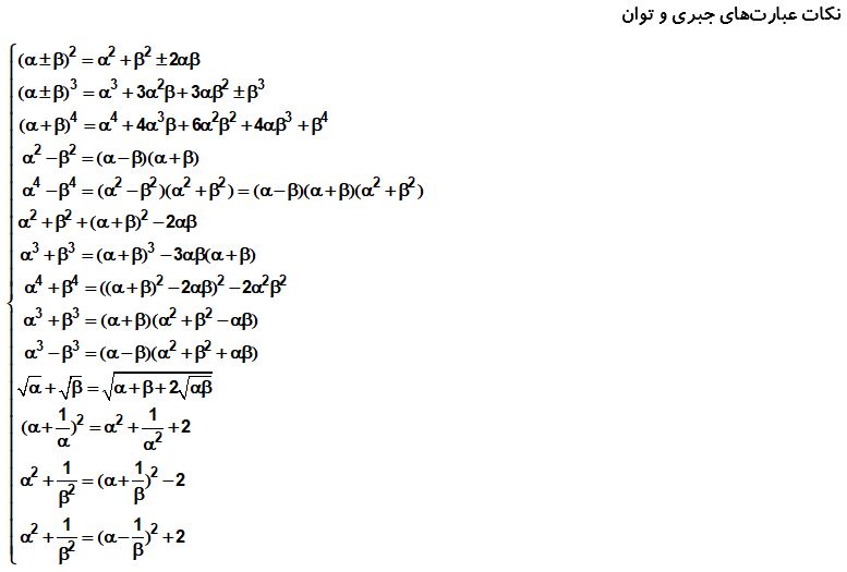
در این مطلب خلاصه نکات «عبارت‌های جبری و توان» ریاضی دهم برای آمادگی بیشتر شما در آزمون 21 بهمن ماه، توسط توسط مهدی حاجی نژادیان رتبه 13 دکترا عمران برای شما آورده شده‌است.

عبارت‌های جبری و توان_درسنامه ریاضی دهم_مهدی حاجی نژادیان

سلام به دانش‌آموزان عزیز دهم ریاضی 

در این مطلب خلاصه نکات «عبارت های جبری و توان» ریاضی دهم برای آمادگی بیشتر شما در آزمون 21 بهمن ماه، توسط توسط مهدی حاجی نژادیان رتبه 13 دکترا عمران برای شما آورده شده‌است.

عبارت‌های جبری و توان_درسنامه ریاضی دهم_مهدی حاجی نژادیان


فایل های ضمیمه

Menu