سلام
در این مطلب چند نمونه سوال و تست از فصل 1 و 2 فیزیک دهم رو تمرین میکنیم.
جواب سوالات در فایل ضمیمه آورده شده است .
برای مشاهده درسنامه این مبحث کیک کنید.
![]() | امیرحسین ایمانی پور مهندسی مکانیک دانشگاه صنعتی امیرکبیر تهران |
سوال 1 - تالیفی
فشار کل وراد بر کف یک ضرف از طرف آب داخل آن 102 کیلو پاسکال است . اگر مساحت کف ظرف 250 باشد : ( چگالی آب و جیوه به ترتیب 1000 و 13600 و فشار هوا پاسکال است . )
الف ) چه نیرویی از طرف آب به کف ظرف وارد میشود ؟
ب) ارتفاع آب داخل ظرف چه قدر است ؟
ج) فشار وراد بر کف ظرف از طرف آب داخل ظرف چند cmHg است ؟
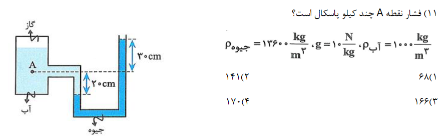
سوال 2 - تالیفی
فشار نقطه A چندکیلو پاسکال است ؟

سوال 3 - تالیفی
در شکل زیر فشار نقاط رابا هم مقایسه کنید .

سوال 4 - تالیفی
با توجه به شکل زیر اگر مایع ها در حال تعادل باشند x چند سانتی متر است ؟
| 1 ) 4 | 2 ) 5 |
| 3 ) 6 | 4 ) 7 |

سوال 5 - تالیفی
اگر چگالی جسمی 01/0 گرم بر میلیمتر مکعب باشد چگالی آن برحسب کیلوگرم بر مترمکعب کدام است ؟
| 1 ) 0.0001 | 2 ) 0.001 |
| 3 ) 0.01 | 4 ) 0.1 |
پاسخ ها را در فایل ضمیمه مشاهده کنید .
با آرزوی موفقیت شما

