سلام
در این مطلب میخواهیم به جمع بندی مبحث معادلات درجه دوم بپردازیم.
همچنین سوال یا پیشنهاد خودتون رو در قسمت کامنت های این مطلب مطرح کنید.
با ما همراه باشید!
مهدیه امین-فارغ التحصیل رشته مهندسی شیمی دانشگاه شریف
معادلات درجه دوم

با توجه به علامت ∆ سه حالت داریم:
1. اگر ∆<0 باشد، آنگاه معادله ریشه حقیقی ندارد.
2. اگر ∆=0 باشد، آنگاه معادله یک ریشه حقیقی مضاعف (یا دو ریشه حقیقی یکسان) دارد.
3. اگر ∆>0 باشد، آنگاه معادله دو ریشه حقیقی متمایز دارد.
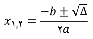
ریشه های معادله درجه دوم نیز از طریق رابطه زیر به دست میآید:


روابط بین ضرایب و ریشههای معادله درجه دوم

نکات:


تشکیل معادله درجه دوم

صفرهای تابع

روش هندسی حل معادلات
اگر f(x) و g(x) دو تابع باشند، طول نقاط تلاقی نمودارهای این دو تابع جوابهای معادله f(x)=g(x) است و برعکس، هر جواب این معادله طول یکی از نقاط تلاقی این دو نمودار است.
این روش حل معادله را، که از طریق آن تعداد جوابها و مقدار تقریبی (و گاهی دقیق) جوابها قابل تشخیص است، روش هندسی (نموداری) حل معادلات مینامیم.

پاسخ مثال ها رو میتونید در pdf بارگذاری شده در انتهای مطلب مشاهده کنید.
دوستان عزیزم؛ برای ارتباط با رتبه برترها صفحه اینستاگرام زیر رو دنبال کنید.
