سلام
در این مطلب میخواهیم به جمع بندی مبحث آمار و احتمال (یازدهم تجربی) بپردازیم.
همچنین سوال یا پیشنهاد خودتون رو در قسمت کامنت های این مطلب مطرح کنید.
با ما همراه باشید!
مهدیه امین- فارغ التحصیل رشته مهندسی شیمی دانشگاه شریف
جهت یادآوری آمار و احتمال ریاضی دهم میتوانید به مطلب زیر مراجعه کنید.
احتمال شرطی
منظور از «احتمال A به شرط B» که آن را با P(A│B) نمایش میدهیم، احتمال وقوع پیشامد A است، به شرط آنکه بدانیم پیشامد B رخ داده است.

توجه: شرط محاسبه احتمال پیشامد A به شرط وقوع پیشامد B آن است که P(B)≠0.
مثال1: پنج مهره سفید با شمارههای 1 تا 5 و همچنین پنج مهره سیاه با شمارههای 1 تا 5 و یکسان در ظرفی قرار میدهیم. به تصادف دو مهره از بین آنها بیرون میآوریم، اگر مجموع شمارههای هر دو مهره 6 باشد، با کدام احتمال، هر دو مهره همرنگ هستند؟

پیشامدهای مستقل
دو پیشامدA و B از هم مستقل اند هرگاه وقوع هر یک بر احتمال وقوع دیگری تأثیر نداشته باشد و داریم:

طبق فرمول احتمال شرطی:

مستقل بودن A از B معادل است با اینکه P(A∩B)=P(A).P(B).
آمار توصیفی: شاخصهای مرکزی
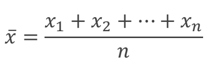
1. میانگین: سادهترین و درعین حال پرکاربردترین معیار گرایش به مرکز میباشد، همچنین متوسط یا مرکز ثقل دادههاست.

خواص میانگین:
1.اگر هر یک از دادههای آماری با مقدار ثابتی جمع یا کم شود، میانگین آنها نیز با همان مقدار ثابت جمع یا کم خواهد شد.
2.اگر هر یک از دادههای آماری در مقدار ثابتی ضرب یا تقسیم شود، میانگین آنها نیز در همان مقدار ثابت ضرب یا تقسیم خواهد شد.
روش میانگین حدسی: برای محاسبه میانگین اعداد بزرگ، بهتر است از تمام دادهها، یک عدد دلخواه را کم کرده و سپس میانگین دادههای جدید را محاسبه کنیم. در نهایت به میانگین دادههای جدید، عددی را که کم کرده بودیم را اضافه کنیم تا میانگین اصلی به دست آید.
2. میانه: میانه تعدادی داده، عددی است که تعداد دادههای بعد از آن با تعداد دادههای قبل از آن برابر است. برای به دست آوردن میانه ابتدا دادهها از کوچک به بزرگ مرتب میکنیم. سپس:
1. اگر تعداد دادهها فرد باشد، دادهای که وسط قرار میگیرد، برابر میانه است.
2. اگر تعداد دادهها زوج باشد، نصف مجموع دو داده وسط، برابر میانه است.
خواص میانه:
1.اگر هر یک از دادههای آماری با مقدار ثابتی جمع یا کم شود، میانه آنها نیز با همان مقدار ثابت جمع یا کم خواهد شد.
2.اگر هر یک از دادههای آماری در مقدار ثابتی ضرب یا تقسیم شود، میانه آنها نیز در همان مقدار ثابت ضرب یا تقسیم خواهد شد.
3. میانه برخلاف میانگین تحت تأثیر دادههای دور افتاده قرار نمیگیرد. بنابراین در صورت وجود داده دورافتاده، میانه نسبت به میانگین کارآمدتر است.
3. چارکها: چارکها (چارک اول، چارک دوم و چارک سوم) مقادیری هستند که دادههای مرتب شده را به چهار قسمت مساوی تقسیم میکنند. بدیهی است چارک دوم همان میانه است.
برای به دست آوردن چارکها:
1. ابتدا دادهها را از کوچک به بزرگ مرتب میکنیم.
2. سپس میانه را پیدا میکنیم.
3. برای دادههای سمت چپ میانه (قبل از میانه) مجددا میانه را محاسبه میکنیم و آن را چارک اول مینامیم.
4. برای دادههای سمت راست میانه (بعد از میانه) مجددا میانه را محاسبه میکنیم و آن را چارک سوم مینامیم.
مثال2: میانگین اعداد 2000، 2300، 1800، 1900 و 2200 را محاسبه کنید.

مثال3: میانهی داده های 19، 20، 13، 14، 15، 12، 10، 11 را بیابید.

آمار توصیفی: شاخصهای پراکندگی
1.دامنه تغییرات: سادهترین شاخص پراکندگی که اختلاف بین بزرگترین و کوچکترین دادهها را نشان میدهد.

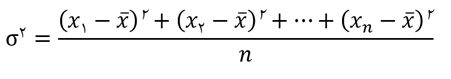
2. واریانس: میانگین مجذور اختلاف دادهها از میانگین آنها را واریانس می نامند.


3. انحراف معیار: جذر واریانس را انحراف معیار مینامند.
خواص واریانس و انحراف معیار:
1. اگر تمام دادهها با هم برابر باشند، واریانس و انحراف معیار صفر هستند و بالعکس.
2. اگر تمام دادهها با عددی ثابت جمع یا تفریق شوند، واریانس و انحراف معیار تغییری نمیکنند.
3. اگر تمام دادهها در عددی ثابت مانند k ضرب شوند، واریانس مجذور k برابر و انحراف معیار |k| برابر میشوند.
ضریب تغییرات
ضریب تغییرات برابر است با:

خواص ضریب تغییرات:
1. اگر تمام دادهها با هم برابر باشند، ضریب تغییرات صفر است و بالعکس.
2. اگر تمام دادهها با یک عدد ثابت مثبت جمع شود، ضریب تغییرات کوچکتر میشود.
3. اگر تمام دادهها را در یک عدد ثابت ضرب کنیم، ضریب تغییرات تغییری نمیکند.

پاسخ تست ها رو میتونید در pdf بارگذاری شده در انتهای مطلب مشاهده کنید. همچنین توضیحات بیشتر مربوط به نکات تست ها در صوت انتهای مطلب توضیح داده شده است.
دوستان عزیزم؛ برای ارتباط با رتبه برترها صفحه اینستاگرام زیر رو دنبال کنید.
