سلام
در این مطلب میخواهیم به جمع بندی مبحث آمار و احتمال ریاضی دهم بپردازیم.
همچنین سوال یا پیشنهاد خودتون رو در قسمت کامنت های این مطلب مطرح کنید.
با ما همراه باشید!

مهدیه امین-فارغ التحصیل رشته مهندسی شیمی دانشگاه شریف
فضای نمونهای و پیشامدهای تصادفی
پدیدههای قطعی: پدیدهها یا آزمایشهایی که با فرض یکسان بودن شرایط، نتیجه آزمایش یا مشاهده، قبل از وقوع به طور قطع قابل تشخیص است.
پدیدههای تصادفی: پدیدهها یا آزمایشهایی هستند که با فرض یکسان بودن شرایط، نتیجه آزمایش یا مشاهده، قبل از وقوع به طور قطع قابل تشخیص نیست.
فضای نمونهای(S): مجموعه تمام نتایج ممکن یک پدیده تصادفی را فضای نمونه ای آن پدیده مینامند.
پیشامد تصادفی: هر زیرمجموعه از فضای نمونهای یک پدیده تصادفی را یک پیشامد تصادفی در آن فضای نمونهای مینامند.
پیشامد نشدنی: پیشامدی که وقوع آن با توجه به اعضای فضای نمونهای امکان پذیر نباشد را پیشامد نشدنی (غیرممکن) میگویند؛ مثلا پیشامد آنکه در یک تاس عدد 7 رو شود.
پیشامد حتمی: کل فضای نمونهای را پیشامد حتمی میگویند. مثلا پیشامد آنکه در یک تاس اعداد 1 تا 6 رو شود.
عملیات روی پیشامدها
•اجتماع دو پیشامد: اگر A و B دو پیشامد از فضای نمونهای Sباشند، پیشامد A∪B ، در صورتی اتفاق میافتد که A یا B یا هر دو اتفاق بیفتند. (حداقل یکی از دو پیشامد A یا B رخ دهند.)

•اشتراک دو پیشامد: اگر A و B دو پیشامد از فضای نمونهای Sباشند، پیشامد A∩B، در صورتی اتفاق میافتد که A وB هر دو اتفاق بیفتند.

•تفاضل دو پیشامد: اگر A و B دو پیشامد از فضای نمونهای Sباشند، پیشامد A-B، در صورتی اتفاق میافتد که A اتفاق بیفتد اماB اتفاق نیفتد. (فقط A اتفاق بیفتد.)

نکته:

•تفاضل متقارن دو پیشامد: اگر A و B دو پیشامد از فضای نمونهای باشند، پیشامد (A-B)∪(B-A) یا (A∪B)-(A∩B) همان هنگامی اتفاق میافتد که A یا B اتفاق بیفتد ولی هر دو با هم اتفاق نیفتند.(فقط A رخ دهد یا فقط B رخ دهد)



•قوانین دمورگان:

•پیشامدهای ناسازگار: دو پیشامدA و B از فضای نمونهای را ناسازگار میگویند، هرگاه هرگز با هم رخ ندهند و اشتراک آنها تهی باشد.


احتمال رخداد یک پیشامد:
اگر A یک پیشامد از فضای نمونه ای S باشد، احتمال وقوع پیشامد A برابر است با:
احتمال پیشامد حتمی برابر یک و احتمال پیشامد نشدنی برابر صفر میباشد.
پرتاب سکه یا تولد فرزند:
1.احتمال آنکه خانواده ای با n فرزند، دقیقا k فرزند پسر یا دختر داشته باشد.(*)
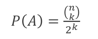
2. اگر nسکه سالم را با هم پرتاب کنیم و یا یک سکه سالم را n بار پرتاب کنیم، احتمال آنکه دقیقا k بار رو(پشت) بیاید.(**)
(*) و (**) برابر است با: 
قوانین احتمال
1.احتمال آنکه پیشامد A رخ ندهد، برابر است با:

2. احتمال آنکه حداقل یکی از دو پیشامد A یا B (A یا B و یا هر دو)رخ دهد، برابر است با:

3. احتمال آنکه فقط پیشامد A رخ دهد(یعنی Aرخ دهد و B رخ ندهد)، برابر است با:

4. احتمال آنکه فقط یکی از دو پیشامد A یا B رخ دهد، برابر است با:

5. احتمال آنکه هیچ کدام از دو پیشامد A و B رخ ندهند، برابر است با:

نکته: اگر دو پیشامد A و B ناسازگار از فضای نمونهای S باشد،(چون A و B همزمان با هم اتفاق نمیافتند پسP(A∩B)=0) ، داریم:

مقدمهای برعلم آمار، جامعه و نمونه
تعریف آمار: آمار، مجموعهای از اعداد، ارقام و اطلاعات است.
تعریف علم آمار: علم آمار مجموعه روشهایی است که شامل جمع آوری اعداد و ارقام، سازماندهی و نمایش، تحلیل و تفسیر دادهها و در نهایت نتیجه گیری، قضاوت و پیشبینی مناسب در مورد پدیدهها و آزمایشهای تصادفی میشود.
تعریف جامعه یا جمعیت: مجموعه تمام افراد یا اشیایی که دربارهی یک یا چند ویژگی آنها تحقیق صورت گیرد، جامعه یا جمعیت نامیده میشود و هریک از این افراد یا اشیا را عضو جامعه مینامند.
تعریف اندازه یا حجم جامعه: تعداد اعضای جامعه را اندازه جامعه یا حجم جامعه گویند. به عنوان مثال، دانشآموزان یک مدرسه میتوانند یک جامعه باشند و هریک از دانشآموزان مدرسه عضو این جامعه هستند.
تعریف نمونه: بخشی از جامعه را که برای مطالعه انتخاب شود، نمونه گویند و هریک از افراد یا اشیای انتخاب شده را عضو نمونه گویند.
تعریف اندازه یا حجم نمونه: تعداد اعضای نمونه را اندازه نمونه یا حجم نمونه گویند. به عنوان مثال دانش آموزان یک کلاس به عنوان یک نمونه از دانش آموزان مدرسه هستند و هریک از دانش آموزان کلاس، عضو نمونه محسوب میشوند.
متغیر و انواع آن
متغیر: متغیر، ویژگی از اعضای یک جامعه است که بررسی و مطالعه میشود و معمولاً از یک عضو به عضو دیگر تغییر میکند.
مقدار متغیر: عددی را که به ویژگی یک عضو نسبت داده میشود، مقدار متغیر میگویند.
انواع متغیرها
متغیرهای کمی: متغیرهایی را که قابلیت اندازه گیری دارند؛ به عنوان مثال تعداد فرزندان خانواده و وزن افراد.
متغیرهای کیفی: متغیرهایی را که قابلیت اندازه گیری ندارند؛ به عنوان مثال به عنوان مثال گروه خونی افراد.
| متغیرهای کمی | پیوسته: متغیری که اگر دو مقدار aو b را اختیار کند، آنگاه مقداری بین آنها وجود دارد که نمیتواند اختیار کند؛ مانند قد و وزن |
| گسسته: متغیری که اگر دو مقدار aو b را اختیار کند، آنگاه هر مقداری بین آنها را نیز بتواند اختیار کند؛ مانند تعداد انسانها | |
| متغیرهای کیفی | اسمی: بدون ترتیب مانند گروه خونی، نوع آلاینده هوا |
| ترتیبی: دارای ترتیب طبیعی مانند مراحل تحصیل |


پاسخ مثال ها رو میتونید در pdf بارگذاری شده در انتهای مطلب مشاهده کنید.
دوستان عزیزم؛ برای ارتباط با رتبه برترها صفحه اینستاگرام زیر رو دنبال کنید.
