سلام به همه دوستان !
10 تست با پاسخ تشریحی + سوالات پیشنهادی رتبه برتر ها
شاخصهای آماری - ریاضی یازدهم انسانی
تست ها با پاسخ تشریحی :
نگینسادات رحیمی - رتبه 579 کنکور 1398 / پزشکی البرز
سوالات پیشنهادی :
امیرحسین کمانی - رتبه 138 کنکور 1401 / حقوق تهران

1- در یک جامعه آماری شاخص نرخ بیکاری برابر 40 درصد است. اگر جمعیت فعال این جامعه 60 میلیون نفر باشند، چند میلیون شغل جدید را ایجاد کنیم تا نرخ بیکاری 20 درصد شود؟
1) 9 2) 12 3) 10 4) 8

2- در یک کتاب میانگین لغات هر جمله 3 برابر درصد کلمات دشوار و شاخص پایه آموزش 11 است، میانگین لغات هر جمله در این کتاب کدام است؟
1) 21 2) 7 3) 6 4) 18

3- قیمت 3 نوع کالا در سال پایه 2000 و 7500 و 3500 واحد پول و در سال مورد نظر بهترتیب 3000 و 1000 و 5000 واحد پول است. تعداد مورد نیز این این 3 کالا در سال بهترتیب 60، 100 و 80 میباشد. مقدار تورم تقریباً چند درصد است؟
1) 8/35 2) 4/37 3) 2/39 4) 1/40

4- شخصی 39 ساله با قد 180 سانتیمتر و وزن 90 کیلوگرم درصورتی که BMI مطلوب او 24 باشد، چه مقدار اضافه وزن دارد؟
1) 24/11 2) 24/12 3) 24/10 4) 24/13

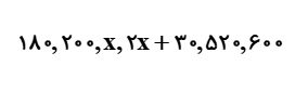
5- درآمد افراد یک جامعه بهترتیب بهصورت زیر میباشد، اگر خط فقر به روش نصف میانه و نصف میانگین با هم برابر باشند، مقدار X کدام است؟
1) 235 2) 225 3) 220 4) 240

6- اگر نرخ بیکاری در جامعهای 20 درصد و جمعیت بیکار 4 میلیون نفر باشد، آنگاه جمعیت شاغل در این جامعه چند میلیون نفر است ؟
1) 16 2) 20 3) 24 4) 18

7- برای کتابی با متوسط طول جملات 8 کلمهای و 20 درصد کلمات سخت ، شاخص پایه آموزش محاسبه شده است .
بر اساس شاخص بهدست آمده ، این کتاب مناسب دانشآموزانی است که پایه ............. را به پایان رساندهاند.
1) هشتم 2) نهم 3) دهم 4) یازدهم

8- اگر درآمد کارکنان یک اداره 7 و 5 و 5/3 و 3 و 5/2 و 2 و 2 و 1 و 1 میلیون تومان باشد، با توجه به روش نصف میانگین، حقوق چند نفر از آنها زیر خط فقر میباشد ؟
1) 2 2) 4 3) 5 4) 6

9- اگر هزینه یک کالا در مرداد ماه سال 96 برابر 645 هزار تومان و در سال پایه 215 هزار تومان باشد ، شاخص این کالا در مرداد ماه سال 96 کدام است؟
1) 250 2) 300 3) 325 4) 295

10- در کشوری جمعیت افراد زیر 65 سال برابر با 30 میلیون نفر است . اگر در این کشور 5 میلیون نفر زیر 16 سال باشند و 15میلیون نفر از جمعیت فعال جامعه باشند ، حداقل چند میلیون شغل باید ایجاد شود تا شاخص نرخ بیکاری برابر 12 درصد باشد ؟
1) 5/5 2) 6 3) 5/6 4) 7

برای دریافت پاسخ تشریحی تست ها
و همچنین تست های پیشنهادی رتبه برترها
فایل پی دی اف را از قسمت ضمیمه دانلود کنید .
سپاس از توجه شما 🌹

