سلام به همه دوستان !
10 تست با پاسخ تشریحی + سوالات پیشنهادی رتبه برتر ها
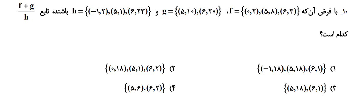
«مبحث اعمال بر روی توابع»
تست ها با پاسخ تشریحی :
نگینسادات رحیمی - رتبه 579 کنکور 1398 / پزشکی البرز
سوالات پیشنهادی :
امیرحسین کمانی - رتبه 138 کنکور 1401 / حقوق تهران





















برای دریافت پاسخ تشریحی تست ها
و همچنین تست های پیشنهادی رتبه برترها
فایل پی دی اف را از قسمت ضمیمه دانلود کنید .
سپاس از توجه شما 🌹

