سلام کنکوری های عزیز
من الهه عسگری هستم و قراره با هم ریاضی دهم و یازدهم طبق برنامه راهبردی جلو ببریم.
با آرزوی موفقیت برای همه شما، در این مطلب درسنامه ای کامل از فصل اول ریاضی یازدهم یعنی فصل هندسه تحلیلی و جبرخطی برای شما آماده شده است.
برای دیدن درسنامهی کامل کافیست فایل pdf مطلب را دانلود کنید.
ویژگی های این مطلب
| درسنامه ای مختصر و مفید | 5 تست برای فهم بهتر | یک تست چالشی + جایزه |
راه ارتباط با رتبه برتر های کانون *-*
برای ارتباط با رتبه برتر های کانون و بهره مندی از تجربیات آنها صفحه اینستاگرام رتبه های برتر را دنبال کنید و برای اطلاع از اخبار کنکور و بهرمندی سریع از مطالب برتر ها وارد کانال تلگرام برتر های کانون بشید.
![]() | ![]() |
‼️ برای باز کردن لینک تلگرام از فیلتر شکن استفاده کنید.
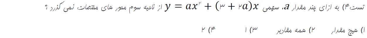
‼️ بخش اول: هندسه تحلیلی ‼️
از هر دو نقطه متمایز، تنها یک خط عبور می کند پس می توان گفت با داشتن دو نقطه متمایز از یک خط می توان معادله ان خط را محاسبه کرد.
شیب خط : برابر است با نسبت جابجایی عمودی به جابجایی افقی.
* شرط موازی بودن دو خط آن است که شیب دو خط برابر باشند.
فاصله دو نقطه :
* مختصات نقطه وسط پاره خط AB عبارت است از :
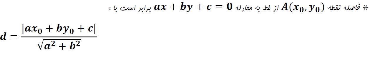
* فاصله نقطه از خط :
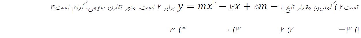
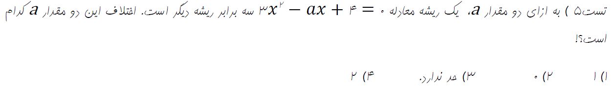
‼️ بخش دوم : معادله درجه دوم و تابع درجه دو ‼️
روش تغییر متغیر برای حل معادله :
معادلاتی هستند که قابل تبدیل به معادلات درجه دوم و معادلات قابل حل هستند. ما با روش تغییر متغییر سعی می کنیم ابتدا انها را تبدیل به معادلات قابل حل کنیم و بعد حلشان کنیم.
مجموع و حاصل ضرب ریشه های معادله درجه 2 :
معادله درجه دومی که مجموع ریشه های آن S و حاصل ضرب ریشه های آن P باشد را می توان به صورت زیر نوشت :
ماکزیمم و مینیمم تابع درجه دوم :
‼️ بخش سوم : معادلات گویا و معادلات رادیکالی ‼️
معادلات گویا :
برای حل یک معادله گویا می توان دو طرف تساوی را پس از تجزیه کردن مخرج ها، در کوچکترین مضرب مشترک (ک م م ) مخرج ها ضرب کرد تا معادله از شکل کسری خارج شود و جواب های بدست امده نباید مخرج کسر ها را صفر کنند و این جواب ها باید در معادله اولیه صدق کنند.
معادلات رادیکالی :
معادلاتی که در آنها عبارت رادیکالی شامل مجهول وجود دارد را معادلات رادیکالی می گویند.
برای حل یک معادله رادیکالی می توان جملات را طوری در طرفین تساوی جابجا کرد که یک عبارت رادیکالی به تنهایی در یک طرف تساوی قرار گیرد. سپس با به توان رساندن طرفین معادله و در صورت لزوم با تکرار این عمل، معادله را از شکل رادیکالی خارج کرد. پس از حل معادله باید مطمئن شویم که جواب های حاصل در معادله اولیه صدق می کنند.
پنج به علاوه یک تست :)
تست چالشی : خب گفتیم 5 به علاوه یک تست و تا الان 5 تا تست مطرح کردیم اما اون یدونه تست اضافه قراره همیشه چالشی تر باشه و خب این دفعه این سوال، سوال 106 کنکور ریاضی 1401 است و می تونه کمی شما رو به چالش بکشه اما قراره که خودتون جواب ها رو برامون بذارید و ما هم قراره به قید قرعه به جواب درستی که با پنل کاربری خودشون جواب رو گذاشتن جایزه های خوبی بدیم :)

اگر سوالی دارید می تونید توی قسمت کامنت ها از من بپرسید.
یه دیالوگ بود که می گفت : همه می گن دنیا جای خوبیه و ارزش تلاش کردن داره اما من فقط با قسمت دوم جمله موافقم!
دنیا جای بدیه ولی ارزش تلاش کردن داره!
شاد و جنگجو باشید!


