سلام به همه دوستان :)
در این متلب قصد داریم یک دام از هر کتاب ریاضی تجربی را پیش بینی کنیم. با بررسی این دام های احتمالی، هم مبحث را بهتر یاد می گیریم و هم در صورت مواجه شدن با آنها در آزمون ها اشتباه نمی کنیم.
| ریاضی دهم تجربی |
| بخش اول: طرح تست دام دار |
حل تست :
| بخش دوم : توضیح دام |
توضیح دام :
اگر در صورت سوال دقت کنید در اخر گفته شده مجموعه مرجع منهای مجموعه مد نظر کدام است؟ پس در نهایت ما نباید فراموش کنیم که از خلاصه مجموعه متمم بگیریم و اگر فراموش کنیم ممکن است به اشتباه گزینه 2 را انتخاب کنیم.
| ریاضی دهم تجربی |
| بخش اول: طرح تست دام دار |
حل تست :
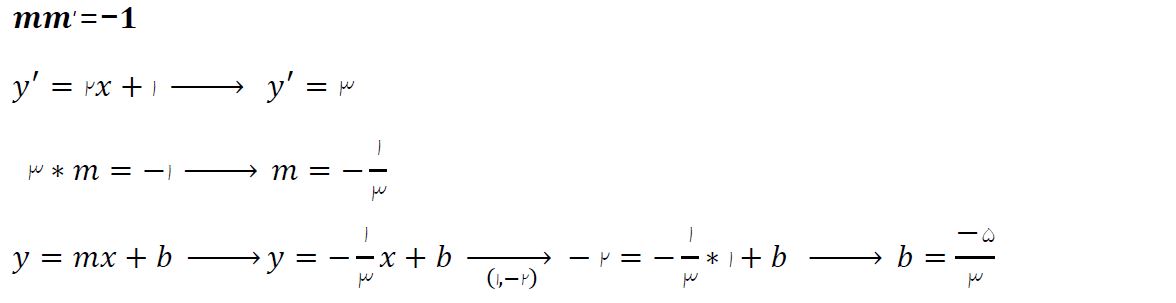
ابتدا باید شیب خط مورد نظر را بدست اوریم. می دانیم خط بر سهمی در نقطه ای که طولش یک است،عمود است.( عرض این نقطه منفی دو است.چرا؟)
وقتی خط بر سهمی عمود است یعنی شیب خط با خط مماس رابطه زیر را دارد :
حالا باید فاصله دو نقطه را بدست اوریم.
| بخش دوم : توضیح دام |
توضیح دام : این اشتباهی بود که خود من سر جلسه کنکور مرتکب شدم که باعث از دست رفتن امتیاز این سوال و حتی تاثیر منفی در درصد من شد.
در سال 94 نیز سوالی مطرح شد که باید شیب خط را قرینه و معکوس می کردیم اما من اینکار را نکردم و جواب اشتباه من توی گزینه ها بود.
حالا باید فاصله دو نقطه را بدست اوریم.
راه ارتباط با رتبه برتر های کانون *-*
برای ارتباط با رتبه برتر های کانون و بهره مندی از تجربیات آنها صفحه اینستاگرام رتبه های برتر را دنبال کنید و برای اطلاع از اخبار کنکور و بهرمندی سریع از مطالب برتر ها وارد کانال تلگرام برتر های کانون بشید.
![]() | ![]() |
‼️ برای باز کردن لینک تلگرام از فیلتر شکن استفاده کنید.
اگر از این مباحث،دامی به نظرتان آمد، در کامنت ها به اشتراک بگذارید.
تهیه کننده : الهه عسگری رتبه 296 کنکور 94
سپاس از توجه شما


