سلام کنکوری های عزیز
من الهه عسگری هستم و قراره با هم ریاضی دهم و یازدهم طبق برنامه راهبردی جلو ببریم.
با آرزوی موفقیت برای همه شما، در این مطلب یک سوال چالشی و حل آن از فصل پنجم ریاضی یازدهم یعنی فصل توابع نمایی و لگاریتمی برای شما آماده شده است.
برای دیدن حل کامل این تست کافیست فایل pdf مطلب را دانلود کنید.
ویژگی های این مطلب
| یک تست تالیفی و چالشی | حل کامل و تشریحی تست |
راه ارتباط با رتبه برتر های کانون *-*
برای ارتباط با رتبه برتر های کانون و بهره مندی از تجربیات آنها صفحه اینستاگرام رتبه های برتر را دنبال کنید و برای اطلاع از اخبار کنکور و بهرمندی سریع از مطالب برتر ها وارد کانال تلگرام برتر های کانون بشید.
![]() | ![]() |
‼️ برای باز کردن لینک تلگرام از فیلتر شکن استفاده کنید.
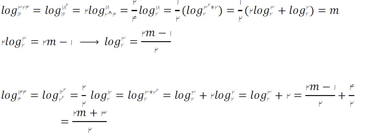
حل :
ابتدا سعی ی کنیم عبارت را بر حسب m ساده کنیم.
پس گزینه درست، گزینه یک است.
اگر سوالی دارید می تونید توی قسمت کامنت ها از من بپرسید.
یه دیالوگ بود که می گفت : همه می گن دنیا جای خوبیه و ارزش تلاش کردن داره اما من فقط با قسمت دوم جمله موافقم!
دنیا جای بدیه ولی ارزش تلاش کردن داره!
شاد و جنگجو باشید!


