سلام کنکوری های عزیز
من الهه عسگری هستم و قراره با هم ریاضی دهم و یازدهم طبق برنامه راهبردی جلو ببریم.
با آرزوی موفقیت برای همه شما، در این مطلب درسنامه ای کامل از فصل چهارم ریاضی دهم یعنی فصل معادله ها و نامعادله ها برای شما آماده شده است.
برای دیدن درسنامهی کامل کافیست فایل pdf مطلب را دانلود کنید.
راه ارتباط با رتبه برتر های کانون *-*
برای ارتباط با رتبه برتر های کانون و بهره مندی از تجربیات آنها صفحه ایسنتاگرام رتبه های برتر را دنبال کنید و برای اطلاع از اخبار کنکور و بهرمندی سریع از مطالب برتر ها وارد کانال تلگرام برتر های کانون بشید.
![]() | ![]() |
‼️ برای باز کردن لینک تلگرام از فیلتر شکن استفاده کنید.
‼️ بخش اول: معادله درجه دوم و روش های مختلف حل آن ‼️
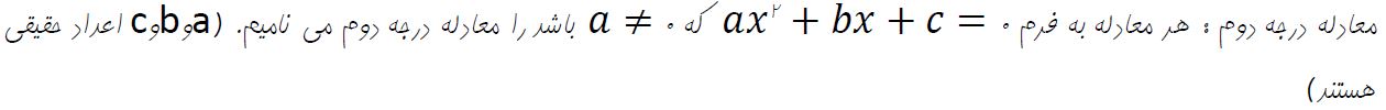
حل معادله درجه دوم :
1) به روش تجزیه :
‼️ نکته : اگر ضرب دو عبارت جبری صفر شود آنگاه حداقل یکی از آن دو عبارت جبری صفر است.
‼️ نکته : تجزیه یک عبارت یعنی تبدیل آن به حاصل ضرب حداقل دو عبارت.
با دو تا نکته بالا قطعا فهمیدید که برای حل معادله درجه دوم به روش تجزیه ابتدا باید معادله را تجزیه کنیم و سپس تک تک عبارت ها را برابر صفر قرار دهیم.
مثال های این قسمت را می توانید در فایل پی دی اف ضمیمه مطالعه کنید.
2) به روش ریشه گیری
3) به روش مربع کامل
4) به روش کلی
حالت اول : دلتا مثبت باشد .
حالت دوم : دلتا صفر شود.
حالت سوم : دلتا منفی شود .
حالا می توانیم جواب را برای حالت اول و دوم بدست آوریم :
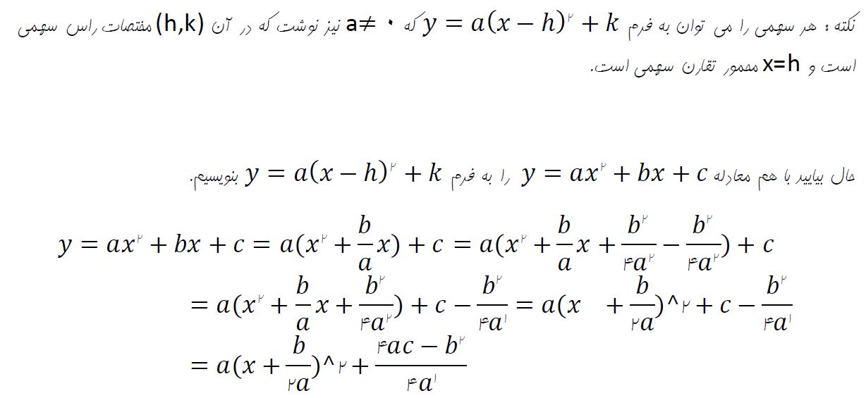
‼️ بخش دوم : سهمی ‼️
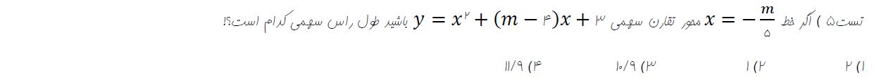
‼️ نکته : به خطی موازی محور ایگرگ ها که سهمی را به دو قسمت مساوی تقسیم می کند محور سهمی یا خط تقارن سهمی می گویند.
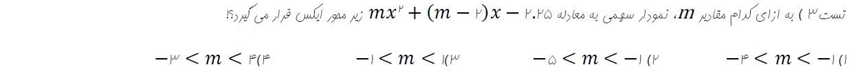
‼️ بخش سوم : تعیین علامت‼️
تعیین علامت : منظور از تعیین علامت این است که بدانید یک عبارت در کدام محدوده منفی یا مثبت یا صفر است.
برای تعیین علامت یک عبارت ابتدا باید عبارت را به ساده ترین اجزای تشکیل دهنده اش تجزیه کرد سپس ریشه هر کدام از عوامل را بدست اورد.
حال در یک جدول ریشه ها را از کوچک به بزرگ به صورت افقی باید نوشت و عوامل را هم به صورت عمودی بنویسید.
تک تک عوامل را تعیین علامت کنید و سپس در نهایت در هر محدوده علامت ها را در هم ضرب کنید.
دو خاصیت زیر در حل عادله به ما کمک می کنند :
1) خاصیت جمع : می توان هر عبارت دلخواهی را به دو طرف نامعادله اضافه کرد.
2) خاصیت ضرب : می توان هر عدد مثبتی را در دو طرف نامعادله ضرب کرد و می توان هر عدد منفی ای را در دو طرف نامعادله ضرب کرد اما دقت کنید که جهت نامعادله عوض می شود.
پنج به علاوه یک تست :)
خب گفتیم 5 به علاوه یک تست و تا الان 5 تا تست مطرح کردیم اما اون یدونه تست اضافه قراره همیشه چالشی تر باشه و خب این دفعه این سوال، سوال 107 کنکور تجربی 1401 است و می تونه کمی شما رو به چالش بکشه اما قراره که خودتون جواب ها رو برامون بذارید و ما هم قراره به قید قرعه به جواب درستی که با پنل کاربری خودشون جواب رو گذاشتن جایزه های خوبی بدیم :)

اگر سوالی دارید می تونید توی قسمت کامنت ها از من بپرسید.
یه دیالوگ بود که می گفت : همه می گن دنیا جای خوبیه و ارزش تلاش کردن داره اما من فقط با قسمت دوم جمله موافقم!
دنیا جای بدیه ولی ارزش تلاش کردن داره!
شاد و جنگجو باشید!


