سلام کنکوری های عزیز
من الهه عسگری هستم و قراره با هم ریاضی دهم و یازدهم طبق برنامه راهبردی جلو ببریم.
با آرزوی موفقیت برای همه شما، در این مطلب درسنامه ای کامل از فصل سوم ریاضی ده یعنی توان های گویا و عبارتهای جبری برای شما آماده شده است.
برای دیدن درسنامهی کامل کافیست فایل pdf مطلب را دانلود کنید.
بخش اول و دوم : ریشه و ریشه nام و توان
بخش سوم : توان های گویا
بخش چهارم : عبارت های جبری
پنج به علاوه یک تست :)
بخش اول و دوم : ریشه و ریشه nام و توان
ریشه و توان یک رابطه دو طرفه با هم دارند یعنی قابل تبدیل به هم هستند.
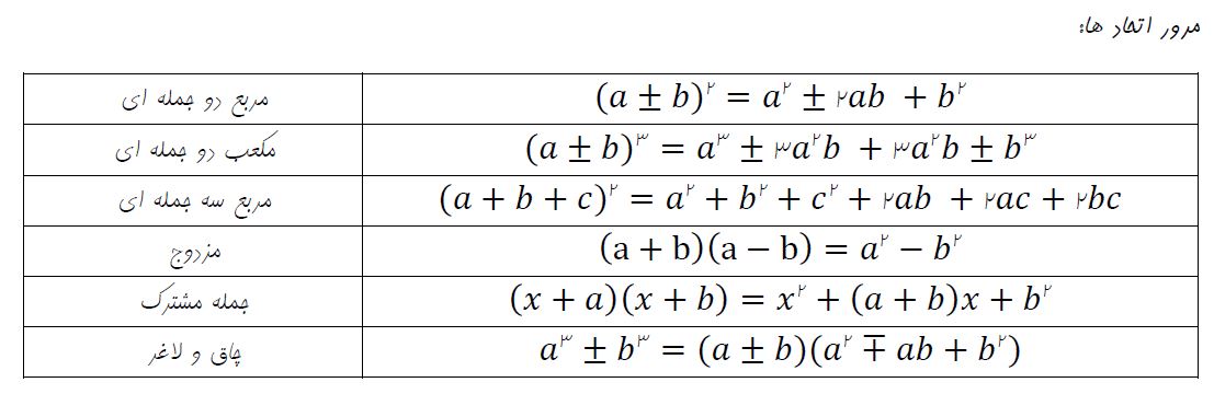
ویژگی های توان :
*نکته : هر عدد مثبت داری دو ریشه ی دوم ( چهارم و ششم و هشتم و ...) است که این دو ریشه قرینه ی یک دیگرند. توجه شود اعداد منفی ریشه زوج ندارند.
* نکته : هر عدد صحیح دارای یک ریشه سوم (پنجم و هفتم و نهم و ...) است که این ریشه با خود عدد هم علامت است
بخش سوم : توان های گویا
دقت کنید که برای پایه های منفی توان های گویا تعریف نمی شوند.
* نکته : قواعد توان های گویا مثل همان قواعد اعداد صحیح است.
بخش چهارم : عبارت های جبری
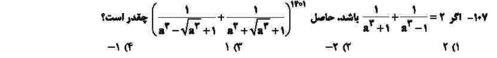
پنج به علاوه یک تست :)
خب گفتیم 5 به علاوه یک تست و تا الان 5 تا تست مطرح کردیم اما اون یدونه تست اضافه قراره همیشه چالشی تر باشه و خب این دفعه این سوال، سوال 107 کنکور ریاضی 1401 است و می تونه کمی شما رو به چالش بکشه اما قراره که خودتون جواب ها رو برامون بذارید و ما هم قراره به قید قرعه به جواب درستی که با پنل کاربری خودشون جواب رو گذاشتن جایزه های خوبی بدیم :)
(توجه شود که پاسخ 5 تست بالا در فایل پی دی اف ضمیمه آورده شده است)
یادتون نره که حتما وارد پنل کاربری خودتون بشید و بعد جواب رو بذارید.
اگر پیشنهادی دارید که ما بتونیم مطالب بهتر اماده کنیم می تونید توی کامنت ها بهمون بگید.
اینستاگرام ما رو هم دنبال کنید و توی کانال تلگرام ما عضو بشید تا بتوید سریع تر از مطالب ما باخبر بشید.
موفق و شاد باشید:)
