سلام به همه دانش آموزان عزیز
در این مطلب درسنامه و نکات فیزیک یازدهم از صفحه 28 تا 32 را مشاهده می کنید.
درسنامه صفحات 1 تا 27 را در مطلب زیر می توانید مشاهده کنید . 👇
صفحه 1 تا 27 - فیزیک یازدهم - درسنامه - امیرحسین ایمانی پور
برای ارتباط با رتبه برترها پیج رتبه برترها را دنبال کنید.
![]() | امیرحسین ایمانی پور - دانشجوی مهندسی مکانیک دانشگاه صنعتی امیرکبیر تهران |
مفاهیم و تعاریف جدید نسبت به آزمون های قبل :
توزیع بار الکتریکی در رسانا - آزمایش فاراده :
ظرف رسانایی با درپوش فلزی را درنظر بگیرید که روی پایه نارسانایی قرار دارد و روی درپوش آن دسته عایق نصب شده است. ابتدا ظرف بدون بار است. یک گوی فلزی را که از نخ عایقی آویزان است باردار و سپس وارد ظرف میکنیم کنون گوی را با کف ظرف تماس میدهیم و سپس درپوش فلزی را یبندیم آنگاه در پوش فلزی را با دسته عایق برمیداریم پس از خارج کردن گوی فلزی از ظرف، آن را به کلاهک الکتروسکوپ نزدیک میکنیم مشاهده میشود عقربه الکتروسکوپ تکان نمیخورد همچنین اگر ظرف را به الکتروسکوپ نزدیک کنیم، مشاهده میشود که عقربه های الکترسکوپ از هم فاصله میگیرند که از این آژمایش نتیجه میشود بار اضافی داده شده به یک رسانا روی سطح خارجی آن پخش میشود.


همانطور که میدانید بار اضافی بر روی سطح خارجی رسانا پخش میشود اما اگر رسانا جسمی باشد که دارای گودی باشد در قسمت گودی آن بار قرار نمی گیرد.

اگر دو کره فلزی را توسط ریسمانی به نقطه ایی ببندیم و به گلوله ها بار یکسانی بدهیم میتوان نوشت :
tan (teta) = F / W

- - اگر جرم دو گلوله یکسان باشد ولی بارهای آن ها نه زاویه بین امتداد قایم با هم برابر میشود.
- - اگر جرم بین دو کلوله یکسان نباشد گلوله با جرم کمتر زاویه بیشتری میسازد.
- - اگر میان دوبار شیشه قرار دهیم نیروی بین دوبار کاهش میابد پس زاویه میان دوبار نیز کاهش میابد.
- - در تعادل بین سه بار اگر بار سوم که قرار است به عنوان بار جدید وارد شود با بار کوچکتر هم نام باشد تعادل را پایدار و اگر با بار کوچکتر ناهمنام باشد تعادل را ناپایدار گویند .
توزیع بار در رسانا و نارسانا :
- اگر یک گلوله را داخل یک ظرف رسانا بدون تماس نماییم در سطح خارجی بار همنام گلوله و در سطح داخلی بار مخالف گلوله الق یشود و اگرگلوله را خارج کنیم جسم به حالت اول و بدون بار بازمیگردد.
- اگر یک گلوله را داخل یک ظرف رسانا با تماس نماییم بار روی سطح خارجی گلوله و ظرف توزیع میشود و اگر گلوله را دور کنیم بار های همنام روی سطح خارجی گلوله و ظرف میمانند.
- اگر بعد از تماس گلوله باردار با ظرف سرپوش رسانا روی ظرف قرار دهیم در این حالت گلوله جز سطح داخلی ظرف محسوب میشود و بار ها روی سطح خارجی توزیع میشود .
- تماس دو کره رسانا
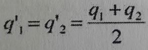
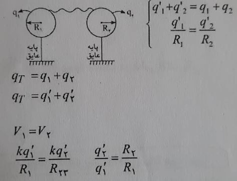
- اگر دو کره فلزی را به یکدیگر توسط یک رسانا متصل کنیم این دو کره هم پتانسیل میشوند و بار هر کره بعد از اتصال برابر است با :
- 1 - دو کره دارای بار های q1 , q2 و شعاع های برابر باشند :
2 - شعاع های دو کره باهم برابر نباشد :
تماس دو کره از داخل :
فایل درسنامه کلی این آزمون ( از صفحه 1 تا 32 کتاب ) را می توانید از بخش ضمیمه دانلود کنید.
با تشکر از توجه شما

