سلام
در این مطلب درسنامه صفحه 1 تا 27 فیزیک یازدهم را می توانید مشاهده کنید.
![]() | امیرحسین ایمانی پور - دانشجوی مهندسی مکانیک دانشگاه صنعتی امیرکبیر تهران |
مفاهیم و تعاریف این بخش :
پایستگی الکتریکی : در برخی موارد مانند مالش اجسام به یکدیگر الکترون به وجود نمی آید و یا از بین نمیرود بلکه صرفا از جسمی به جسم دیگر منتقل میشود .
کوانتیده بودن بار الکتریکی : همواره بار الکتریک مضرب درستی از بار بنیادی e است .
اصل برهم نهی نیروهای الکتروستاتیکی : نیروی الکتریکی وارد بر هر ذره برابر است با برآیند نیروهایی که هریک از ذره ها در غیاب سایر ذرات بر آن وارد میکند .

که نیروی وارد بر بار q0 برابر است با :

قانون کولن :

که در آن r فاصله بین دو بار است و k یک ثابت است که برابر است با :

میدان الکتریکی :
یک بار q1 خاصیتی در فضای اطراف خود ایجاد میکند که در صورت حضور بار دیگر q2 بدون هیچ تماسی به آن نیرو وارد میکند که به این خاصیت میدان الکتریکی گویند .
تعیین میدان الکتریک در هر نقطه از فضای اطراف :
باید بار کوچک و مثبت q0 که به آن بار آزمون میگویند را در آن نقطه قرار دهیم و سپس نیروی الکتریکی را برا ندازه گیری میکنیم .
میدان الکتریکی حاصل از یک ذره باردار :
مطابق فرمول زیر بدست می آید :
که در آن r فاصله بار از نقطه مورد نظر است و k ثابت کولن است .
اصل برهم نهی میدان های الکتریکی :
میدان الکتریکی وارد بر هر ذره برابر است با برآیند میدان هایی که هریک از ذره ها در غیاب سایر ذرات بر آن در فضا وارد میکند و از رابطه زیر بدست می آید :


مولد وان دو گراف :
وسیله ایی است که با استفاده از یک تسمه متحرک بار الکتریک را بر روی یک کلاهک توخالی فلزی جمع میکند .
نکات این بخش :
زمانی که دو بار به یکدیگر نیرو وارد میکنند نیرویی که بار اول به دوم وارد میکند طبق قانون سوم نیوتن برابر است با نیرویی که بار دوم به اول وارد میکند و در خلاف جهت آن است و هم راستا میباشند .

پارچه ابریشمی در تماس با میله شیشه ایی دارای بار منفی میشود و میله شیشه ای دارای بار مثبت می شود .
پارچه پشمی در تماس با میله پلاستیکی دارای بار منفی میشود و میله شیشه ای دارای بار مثبت می شود.
کابرد های الکتروسکوپ :
- - تعیین نوع بار
- - تعیین اندازه بار
- - رسانا یا نارسانا بودن جسم
- - مقدار بار
قانون ضرب در 90
در سوالات قانون کولن اگر بار ها برحسب نانومتر و فاصله برحسب سانتی متر بود احتیاجی به تبدیل واحد نیست و اعداد را در فرمول قانون کولن جایگذاری کنید و سپس در آخر در یک 90 ضرب کنید ،آنگاه نتیجه برحسب واحد های si بدست می آِید .
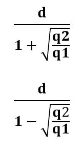
در چه فاصله ایی از بار کوچکترنیروی بین دو بار صفر میشود؟
در اینگونه سوالات از فرمول های زیر بهتر است استفاده کنیم :
در این فرمول ها d فاصله بین دو بار است و q2 بار بزرگتر از نظر اندازه و q1 بار کوچکتر است .
که فرمول اولی برای دو بار همنام وفرمول دومی برای دوبار نا همنام است.
ثابت کولن (k )را میتوان بر حسب یک ضریب ثابت دیگر به نام ضریب گذردهی الکتریکی خلا 0 € نیز نوشت :

- میدان الکتریکی کمیتی برداری است و جهت آن نیز هم جهت با نیروی وارد بر بار آزمون میباشد .
- میدان الکتریکی وارد بر یک ذره با مجذور فاصله آن نسبت عکس دارد و با مقدار بار آن نسبت مستقیم دارد .
- برای نشان دادن رابطه میدان الکتریکی وارد بر یک ذره با فاصله اش( دقت کنید با فاصله و نه مجذور فاصله ) میتوان از نمودار زیر استفاده کرد:

- در آزمایش شمع و کلاهک وان دو گراف ، شعله شمع نزدیک تر به سمت کلاهک کشیده میشود در حالی که شعله شمع دور تر تغییر چندانی نمیکند زیرا کلاهک وان دو گراف بار منفی بزرگی دارد که یون های مثبت شعله شمع نزدیک تر را به خود جذب میکند در حالی که شمع دیگر چون در فاصله دورتری قرار دارد تجت تاثیر میدان ضعیف تری نیز است .
- میدان الکتریکی در کجا صفر میشود ؟
- میتوان از همان فرمول های گفته شده در بخش نیروی الکتریکی در کجا صفر میشود استفاده کرد .
- ویژگی های خطوط میدان الکتریکی :
- 1 - خطوط از بار مثبت خارج میشوند و به بار منفی وارد میشوند .

- 2 - خطوط هرگز یکدیگر را قطع نمیکنند.

3 - خط های میدان در هر نقطه هم جهت با بردار میدان در آن نقطه است .
4 - در هر نقطه بردار میدان باید مماس بر خط میدان عبور از آن نقطه باشد و در همان جهت باشد .
5 - هرچه تراکم خطوط در بخشی زیاد باشد اندازه میدان بزرگتر است .
6 - خطوط میدان برآیند هرگز یکدیگر را قطع نمیکنند یعنی از هر نقطه فضا فقط یک خط میگذرد.
میدان یکنواخت : خطوط این میدان، در فضای بین دو صفحه و دوراز لبه های صفحات مستقیم موازی و هم فاصله اند یعنی بردار میدان در تمام نقاط بین دو صفحه مستقیم موازی و هم جهت است
نیروی الکتریکی بین دو بار :

که جهت نیرو اگر بار مثبت باشد در جهت میدان و اگر منفی باشد خلاف جهت میدان است.
- آزمایش قطره روغن میلیکان :
میلیکان بین دو ورقه فلزی موازی و افقی میدان الکتریکی قائم یکنواخت را توسط یک منبع ولتاژ بالا ایجاد کرد که میتوانست آن را قطع و وصل کند او در مرکز ورقهٔ بالایی چندین روزنهٔ کوچک ایجاد کرده بود که از طریق آنها قطره های روغن حاصل از یک روغن پاش بین دو ورقه میپاشید میلیکان با تغییر دادن میدان الکتریکی بین صفحات به حرکت قطره های روغن در این فضا توجه کرد با تحلیل این حرکت و با در نظر گرفتن مقاومت هوا، نیروی الکتریکی وارد بر هر قطره را محاسبه کرد .

- رسوب دهنده الکتروستاتیکی دود و گرد غبار را از گازهای مضری که از دودکش کارخانه و نیروگاه ها بالا میاید جدا میسازد .
- انرژی پتانسیل الکتریکی : همانطور که از فیزیک دهم میدانید انرژی جنبشی نمیتواند خود به خود به وجود بیاید و این انرژِی حاصل از تغییر انرژیِ پتانسیل است و در بحث الکتریسته به طور کلی میتوان کار نیروی الکتریک و مقدار انرژیِ پتانسیل ذره را به 4 حالت زیر برای بارهای مثبت و منفی تقسیم کرد :

- کار نیروی الکتریکی برابر است با قرینه تغییرات انرژی پتانسیل الکتریکی :

و همچنین داریم :

پس تغییر انرژی پتانسیل ذره باردار به مقدار بار ذره بستگی دارد.
- اختلاف پتانسیل ا لکتریکی : به نسبت تغییر انرژیِ پتانسیل الکتریکی به بار ذره اختلاف پتانسیل الکتریکی گویند که کمیت نرده ایی است و واحد آن ولت است و مستقل از نوع و اندازه بار جابجا شده است .

- در یک میدان الکتریکی یکنواخت با حرکت در جهت عمود بر خطوط میدان پتانسیل الکتریکی تغییر نمیکند .
- در یک میدان الکتریکی یکنواخت بدون توجه به نوع بار با حرکت در جهت میدان پتانسیل الکتریکی کاهش و در خلاف جهت پتانسیل الکتریکی افزایش میابد .
- رابطه بین اختلاف پتانسل دو نقطه ، اندازه میدان و میزان جابجایی بر حسب کمیت های si :

- کار انجام شده توسط نیروی خارجی : اگر ذره با بار q توسط اعمال یک نیروی خارجی جابجا شود رابطه های زیر برقرار است :


موفق و پیروز باشید .

