دانش آموزان عزیز سلام
در این مطلب نکات مهم در خصوص مبحث نوسان و موج را گرد هم آورده ایم.
اگر سوال دیگری دارید، زیر همین مطلب کامنت بگذارید.
حرکت نوسانی: هر حرکتی که در زمانهای مشخصی عینا تکرار شود.
دوره تناوب (T): زمان انجام یک نوسان کامل
بسامد(f): تعداد نوسان های انجام شده در یک ثانیه
حرکت هماهنگ ساده: حرکت نوسانی به صورت رفت و برگشتی روی یک پاره خط است که تابع مکان-زمان آن به صورت تابع سینوسی است. وسط پاره خط مرکز تعادل نام دارد.
دامنه : حداکثر فاصله ی نوسانگر تا مرکز تعادل است.
دوره تناوب سامانه ی جرم-فنر:

بسامد زاویه ای سامانه جرم- فنر:

انرژی مکانیکی سامانه جرم-فنر:

انرژی مکانیکی نوسانگر هماهنگ ساده:

دوره ی تناوب آونگ ساده:

تشدید: اگر بسامد ضربه هایی که یک عامل خارجی به یک نوسانگر وارد می کند با بسامد طبیعی نوسانگر یکسان باشد دامنه ی نوسانگر زیاد می شود.
موج مکانیکی: برای انتشار خود به محیط مادی نیاز دارند. مانند: موج سطح آب
موج الکترومغناطیسی: برای انتشار به محیط مادی نیاز ندارند. مانند: نور مرئی، موج های رادیویی، پرتو ایکس
موج عرضی: جابه جایی هر جزء نوسان کننده از فنر, عمود بر جهت حرکت موج است.
موج طولی: جابه جایی هر جزء نوسان کننده در راستای حرکت موج است.
جبهه ی موج: هر یک از برآمدگی یا فرورفتگی های سطح موج
قله: برآمدگی موج
دره: فرورفتگی موج
طول موج: فاصله ی بین دو برآمدگی
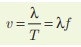
تندی انتشار:

تندی انتشار موج عرضی در تار یا فنر:

امواج الکترومغناطیسی: از رابطه ی متقابل میدان های الکتریکی و مغناطیسی بدست می آید.
میدان الکتریکی همواره بر میدان مغناطیسی عمود است.
میدان الکتریکی و مغناطیسی همواره بر جهت حرکت موج عمودند و در نتیجه موج الکترومغناطیسی یک موج عرضی است.
میدان ها با بسامد یکسان و همگام با یکدیگر تغییر می کنند.
موج صوتی: موج طولی، که توسط جسم مرتعش مانند حنجره ی انسان که اصطلاحا چشمه ی صوت هست، ایجاد می شود.
صوت منتشر شده در تمام جهات منتشر می شود.
صوت در جامدات سریع تر از مایعات و در مایعات سریع تر از گاز ها حرکت می کند. (چرا؟؟)
شدت صوت:

تراز شدت صوت:

ارتفاع: بسامدی که گوش انسان درک می کند.
بلندی: شدتی که گوش انسان از صوت درک میکند.
اثر دوپلر: حتما برای شما پیش آمده است که تفاوت صدای اتومبیلی را هنگام نزدیک شدن و دور شدن را احساس کنید. .وقتی اتومبیل به شما نزدیک می شود صدای آن زیر تر و وقتی دور می شود صدای آن بم تر می شود. علت آن است که حرکت چشمه ی صوت و شنونده نسبت به هم در بسامدی که شنونده می شنود موثر است. این پدیده اثر دوپلر نام دارد.
حالت های مختلف این اثر را حتما در کتاب درسی مطالعه کنید.
بازتاب موج: پژواک صدا، دیدن ماه مثال هایی از بازتاب موج هستند. امواج الکترومغناطیسی نیز بازمی تابند.
بازتاب امواج مکانیکی: اگر تپی را در یک فنر کشیده ی بلند که یک سر آن ثابت است روانه کنیم، وقتی تپ به تکیه گاه می رسد ، طبق قانون سوم نیوتون تکیه گاه نیرویی با اندازه ی برابر و در جهت مخالف بر فنر وارد می آورد. این نیرو در محل تکیه گاه، تپی در فنر ایجاد می کند که روی فنر در جهت مخالف تب تابیده حرکت می کند.
زاویه تابش: تتا آی
زاویه بازتابش: تتا آر
قانون بازتاب عمومی: برای هر وضعیت مانع و همه ی انواع موج زاویه ی بازتابش برابر زاویه ی تابش است.
پژواک: اگر در برابر دیواری بایستید و صوتی ایجاد کنید پس از زمان کوتاهی بازتاب صدا را خواهید شنید. اگر صوت پس از بازتاب ،با یک تاخیر زمانی به گوش شما برسد که صوت اولیه را مستقیما شنیده اید، به چنین بازتابی پژواک می گویند.
بازتاب امواج الکترومغناطیسی: از قانون بازتاب عمومی پیروی می کند.
بازتاب منظم یا آینه ای: سطح بازتابنده مانند آینه هموار است.
بازتاب نامنظم: سطح بازتابنده صیقلی و هموار نیست.
شکست موج: نوع دیگری از برهم کنش امواج با محیط که بر اثر آن جهت پیشروی موج در ورود به محیط جدید تغییر می کند.
قانون شکست عمومی:

تعریف ضریب شکست:

قانون شکست اسنل:

دوستان عزیزم ما تصمیم گرفتیم برای این که بتونیم ارتباطمون رو با هم بیشتر کنیم و قدم به قدم کنارتون باشیم، صفحه ی اینستاگرام متا رو بسازیم و همراهتون باشیم.
محسن پور- مهندسی شیمی امیرکبیر
