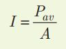
طبق تعریف، شدت یک موج صوتی ( I ) در یک سطح، برابر با آهنگ متوسط انرژی ای است که توسط موج به واحد سطح، عمود
بر راستای انتشار صوت می رسد که با رابطه زیر قابل محاسبه می باشد:
دقت شود که در این رابطه
1- باید مساحت سطح گیرنده صوت در A جایگذاری شود.
2- I و P به ترتیب شدت و توان صوت رسیده به گیرنده (در محل گیرنده ) است و نباید با توان و شدت صوت منبع صوتی اشتباه گرفته شود.
3- رابطه توان رسیده به گیرنده (P) با توان منبع صوتی (P1) در فاصله d از آن به صورت زیر است:
به سوال دام دار زیر از آزمون 29 فروردین دوازدهم تجربی دقت کنید:
36 درصد پاسخ دهندگان گزینه درست، و 41 درصد گزینه دام 2 را انتخاب کرده اند. این عده از دانش آموزان به خاطر دقت نکردن به نکته 3 در این مطلب، به دام افتاده اند و مرحله پایانی حل سوال را به صورت زیر انجام داده اند:
