👋🏻 سلام دوستان خوبم!
📚 همانطور که میدانید، سوالات کنکورهای سالهای گذشته، مهمترین منبع برای تمرین و آمادگی برای کنکور هستند.
🖇️این تستها از دو جنبه اهمیت بسیاری دارند:
📌- مورد اول اینکه باعث تمرین و تکرار مطالب کتاب درسی میشوند و با مطالعه این تستها میتوانید آمادگی لازم را به دست بیاورید.
📌- مورد دوم که باعث میشود اهمیت تستهای کنکور نسبت به هر تستی بالاتر باشد، این است که شما میتوانید با مطالعه این تستها با سبک و سیاق طراحان کنکور آشنا بشوید. به عبارت دیگر میتوانید بخشهای مهم مطالب کتاب درسی را که در سالهای اخیر از آنها سوالات بسیاری طرح شده است را پیدا کنید.
🔍 بنابراین سعی کنید با مطالعه این تستها، علاوه بر تمرین و آمادگی، روش مطالعه خود را طبق سبک و سیاق طراحان کنکور تنظیم کنید!
💻 در همین راستا، مطالبی تهیه شده است که بتوانید طبق پیشروی برنامه راهبردی، به سوالات کنکور مباحثی که مطالعه میکنید دسترسی داشته باشید.
📥 این مطالب هر هفته طبق برنامه راهبردی آپدیت میشوند. شما میتوانید علاوه بر تست ایستگاههای گذشته، تستهای جدید را که هر هفته بارگزاری میشوند مطالعه کنید.
🌱 طبق قرار هر شنبه با 5 تست کنکور ریاضی یازدهم با شما هستیم.
این مطلب هر هفته بروزرسانی میشود! هر ایستگاه جدید شامل 5 تست کنکور می باشد.
*همچنین میتوانید فایل PDF این ایستگاه و ایستگاههای قبل را در انتهای این مطلب دانلود کنید.
**اگر از مرورگر موبایل استفاده میکنید، برای تجربه بهتر میتوانید سایت را در حالت دسکتاپ قرار دهید.
![]() | |
| 🔴سهشنبهها، تست کنکور ریاضی دوازدهم - مهدی خداوندلو🔴 | ![]() |
| 🔴سهشنبهها، تست کنکور ریاضی یازدهم - مهدی خداوندلو🔴 | |
| 🔴سهشنبهها، تست کنکور ریاضی دهم - مهدی خداوندلو🔴 |
![]() | دانشجوی پزشکی دانشگاه علوم پزشکی شهید بهشتی، رتبه 470 کنکور تجربی |

🔴 ایستگاه پنجاه و دوم 🔴


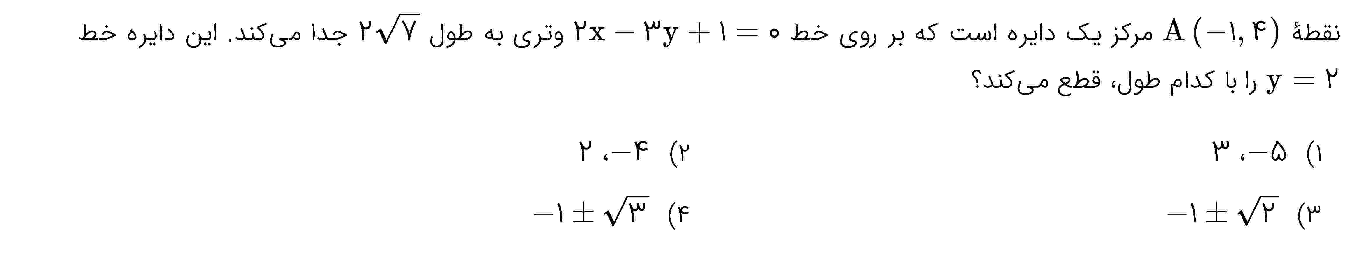
ﮐﻨﮑﻮر ﺳﺮاﺳﺮی ﻋﻠﻮم ﺗﺠﺮﺑﯽ داﺧﻞ 1393







💯 تست چالشی 💯

ﮐﻨﮑﻮر ﺳﺮاﺳﺮی رﯾﺎﺿﯽ و ﻓﯿﺰﯾﮏ داﺧﻞ 1394

🔴برای دریافت پاسخ تشریحی سوالات بالا، و همچنین سوالات و پاسخهای تشریحی ایستگاههای قبلی،🔴
🔴فایل پیدیاف انتهای مطلب را دانلود کنید.🔴
🔷 مشاوره و پشتیبانی ویژه با من 🔷
![]() | |
![]() | |
![]() |
♦️ فایل پیدیاف (PDF) ♦️
دوستان عزیز، شما میتوانید فایل پیدیاف این ایستگاه و ایستگاههای قبل را که شامل تست و پاسختشریحی میباشند را در انتهای همین مطلب دانلود کنید.

🟢دانشجوی پزشکی دانشگاه علوم پزشکی شهید بهشتی، رتبه 470 کنکور تجربی🟢







