سلام به همه کنکوریای عزیز 🖐🖐
در این مطلب قصد داریم تا به مباحث آشنايي با برخي از انواع توابع، وارون يك تابع، تابع يك به يك و اعمال جبري روي توابع بپردازیم.
برای دریافت درسنامههای آمادگی آزمون 1 دی به این مطلب مراجعه کنید.
ویژگیهای مطلب
درسنامه جزصحیح
درسنامه تابع یک به یک
درسنامه وارون تابع
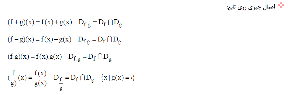
درسنامه اعمال جبری روی توابع
مثال و نکات مربوط به هر مبحث
مؤلف: احسان غنیزاده
بخشی از درسنامه:


ادامه درسنامه را در فایلهای ضمیمه مشاهده کنید.
