دیده شده است که برخی دانشآموزان نسبت به کار تشریحی بیاعتنا هستند و حتی دانشآموزان برتر نیز گاه آن را مناسب سطح خود نمیدانند و آن را غیرضروری میشمارند!
با اضافه شدن نقش آزمونهای تشریحی کشوری در رتبهی کنکور، طراحی سؤال و تصحیح برگههای امتحانی دانشآموزان توسط کسانی غیر از دبیران آنها، توجه به کار تشریحی و تعادل بین کار تشریحی و تستی را ضرورتی مبرم میسازد.
هدف این مقاله نادیده گرفتن نتایج مثبت آزمونهای تستی در تسلط دانشآموزان بر مباحث درسی نیست، بلکه تأثیرات مهم آزمونهای تشریحی بر تثبیت نکات کلیدی در حافظهی دانشآموزان به مثابهی مرحلهای از یادگیری است. مرحلهای که حذف آن راه بر درک عمیق دانشآموزان میبندد.
1- از زاویهی دید طراحِ سؤالی که میخواهد بفهمد دانشآموز چه مقدار مبحثی را درک کرده است و چه قسمتهایی از آن برای او گُنگ و مبهم است و یا دچار درک نادرست شده است، طرح یک سؤال تشریحی چند بخشی میتواند از یک سو میزان درک دانشآموز را در زیر مبحثهای آن موضوع مشخص سازد و از سوی دیگر او را متوجه ابهامات خود کرده و طراحی مسیر مطالعاتی را برای او میسر سازد. اما وقتی طراحی میخواهد همین کار را با طرح سؤال تستی انجام دهد مشکل اول آن است است که گزینههای غلط را باید با پیشبینی مفاهیمی که دانشآموزان ناقص درک کردهاند منطبق سازد اما این مسئله وقتی به خوبی پیش میرود که دبیر یک کلاس خود طراح سؤال هم باشد (که معمولاً همین طور است) ) زیرا به دلیل شناخت دبیر از دانشآموزان و سطح درک آنها از مباحث درس، این مهم مقدور خواهد بود.
اما وقتی طراحی سؤال، در ابعاد وسیعتری قرار است صورت گیرد (مثل امتحانات استانی و کشوری) به دلیل عدم ارتباط مستقیم طراح با دانشآموزان و به تبع آن عدم شناخت کافی وی از نقاط ضعف و ابهامات درسی جمع کثیری از دانشآموزان، در همهی موارد گزینههای غلط را نمیتوان با زیرکی در سطح دریافت ناقص دانشآموزان طرح کرد (چیزی که به آن سؤال "دامدار" میگوییم و طراحی آن به طراحان مجّرب نیازمند است) و به این ترتیب گزینهی درست توسط دانشآموز راحتتر تشخیص داده میشود.
اما در طراحی سؤالات تشریحی نیازی به مهارتهایی از این نوع نیست و دانشآموزان با سطوح مختلف فهم و دریافت، هریک راه خود را در حل مسئله،، بدون آن که پاسخی پیش رویشان باشد، پیش میگیرند وبرای حل مسئله با توجه به فرصت کافی درگیر چالشی جدی خواهند شد که پس از یافتن راه حل درست (یا دیدن راه حل درست پس از مداقهی لازم) به درک عمیقتری از مفهوم مربوطه خواهند رسید و نکات کلیدی و فرمولها در حافظه آنها تثبیت خواهند شد.
- 2- بسیاری از دروس ویژگیای دارند که وقتی بخواهیم مطالب را از طریق تست و با حذف کار تشریحی بیاموزیم مفاهیم اصلی بطور عمیق و همه جانبه درک نخواهد شد. مثل درس آمار که فهم همه جانبه و تثبیت مطالب کلیدی آن با حل تست مقدور نبوده و یا بسیار مشکل خواهد بود.
- 3- وقتی طراح سؤال همان دبیری باشد که مباحث را درس داده است، دانشآموزان با روحیات و نحوهی تصحیح او آشنا هستند اما وقتی مصحح فرد دیگری باشد (که در آزمونهای استانی و بخصوص کشوری اینطور است) آنگاه دانشآموز پس از چند آزمون تشریحی خود را با انواع دبیران سختگیر یا اهل تساهل در تصحیح، تطبیق داده و در پاسخگویی به سوی پاسخهای جامع که مصححین مختلف را قانع سازد متمایل شده و در یادگیری نیز سعی در درک جامع مطالب میکنند، و به این ترتیب این استرس که اکنون عدهای از دانشآموزان هنگام شرکت در آزمونهای کشوری دارند که دبیران چه استانی ورقههای امتحانیشان را تصحیح خواهد کرد خلاص خواهند شد! زیرا شایعهای در میان دانشآموزان کشور وجود دارد که دبیران فلان استان در تصحیح سختگیر هستند و دبیران استانی دیگر تسامح بیشتری دارند، و به هرحال نمیتوان تفاوت مصححین مختلف را از لحاظ سادهگیری یا سختگیری در تصحیح انکار کرد. آزمونهای تشریحی کانون این خاصیت را دارد که یک برگهی امتحانی توسط مصححین مختلفی تصحیح میشود که همان طراح سؤال نیستند و سؤالات نیز به شهادت چندین سال سابقهی این آزمونها از سطح بسیار خوبی برخوردارند.
- 4- برای دانشآموزی که با حذف کار تشریحیِ کافی و بدون تثبیتِ نکاتِ اصلیِ آموزشی و فرمولهای اساسی، سعی دارد صرفاً با تست بیاموزد وجود پاسخ درست در یکی از گزینهها گاه این خطر را دارد که دانشآموز از راه غلط به جواب درست رسیده و وقتی کلید تست را میبیند دیگر دنبال پاسخ تشریحی نرفته و تصور کند چون گزینهی درست را انتخاب کرده است پس راه حلش نیز صحیح است. به همین دلیل کانون همواره از دانشآموزان خواسته است وقتی درست هم جواب میدهند به راه حل تشریحی توجه کنند.
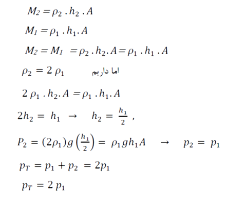
مثال: ظرفی استوانه ای شکل، محتوی مایعی به چگالی ρ و جرم M است. مایع دیگری به چگالی ρ2=2ρ و با جرم M به ظرف میافزاییم. فشار مایع در کف ظرف چند برابر حالت اول خواهد بود؟
1)3 2)1 3)4 4)2
حل:
چگالی مایع دوم ρ2 چگالی مایع اول ρ1

پس فشار دو برابر شده است و گزینهی 4 درست است!
خُب ، در تجربه دیدهام اغلب دانشآموزانی که مبحث را بدون مداقهی کافی و حل مسئلهی تشریحی میآموزند چنین راه حلی به کار میبرند اما به هرحال به پاسخ صحیح رسیدهاند!
راه حل درست این است :

پس فشار نهایی دو برابر حالت اول است و گزینه ی 4 صحیح است.
در حالیکه در راه حل غلط p2 یعنی فشار مایع دوم به تنهائی فشار کل فرض شده است و دانشآموز متوجه نشده که در این حالت

به این ترتیب ممکن است بگویید چه بهتر! پس یادگیری مطالب صرفاً به کمک تست، امتیاز دیگری که دارد این است که گاه راه حل غلط منجر به جواب درست میشود و چه بهتر از این! چون به هر حال نمره را میگیریم، هنگام تصحیح هم که کسی نمیداند راه حل چه بوده است! اما توجه کنید در مثال فوق راه نادرستی که به پاسخ صحیح ختم میشود معمولاً باعث میگردد تا دانشآموز به تصور اینکه جواب را میداند از بررسی پاسخ صحیح منصرف گردد و درکی نادرست در ذهن او تثبیت شود.
عطاءالله غبرائی
